Biomolecules
Get insights from 85 questions on Biomolecules, answered by students, alumni, and experts. You may also ask and answer any question you like about Biomolecules
Follow Ask QuestionQuestions
Discussions
Active Users
Followers
New answer posted
10 months agoContributor-Level 10
This is a Multiple Answer Type Questions as classified in NCERT Exemplar
The Correct option is b.
Nucleic acids are nucleotide polymers linked together by phosphodiester linkage. DNA and RNA are two examples. Nucleotides are formed by linking of nucleosides with three phosphate groups consuming a significant amount of energy making it an endothermic reaction.
New answer posted
10 months agoContributor-Level 10
This is a Multiple Answer Type Questions as classified in NCERT Exemplar
(a) 5′ and 3′ linkages are present between pentose sugars of nucleotides.
Phosphodiester links the two nucleotides together to form a dinucleotide.
Between the pentose sugars of nucleotides, there are 5′ and 3′ connections. In the process of adding phosphate to a dinucleotide, a significant quantity of energy is consumed.

New answer posted
10 months agoContributor-Level 10
This is a Multiple Answer Type Questions as classified in NCERT Exemplar
Ans: The Correct option is b.
Ascorbic acid is the chemical name for vitamin C. Aspartic acid is an amino acid, adipic acid is a dicarboxylic acid with an eight-carbon chain, and saccharic acid is a dicarboxylic acid made by oxidising glucose with HNO3 Vitamin C is a water-soluble vitamin that serves a variety of activities in the human body.
New answer posted
10 months agoContributor-Level 10
This is a Multiple Answer Type Questions as classified in NCERT Exemplar
Ans: The Correct option is b.
The structure described in option (b) reflects sucrose, which has a C1−C2 glycosidic bond between α−D− glucose and β−D− fructose.
This is a non-reducing sugar since the reducing groups of glucose and fructose are involved in the creation of glycosidic linkages.

New answer posted
10 months agoContributor-Level 10
This is a Multiple Answer Type Questions as classified in NCERT Exemplar
Hydrogen bonds hold the α− helical structure of proteins together. A polypeptide chain creates all potential hydrogen bonds by twisting into a
right-handed helix with the −NH group of each amino acid residue hydrogen linked to a>C=O neighboring turn of helix.
Correct option is C
New answer posted
10 months agoContributor-Level 10
This is a Multiple Answer Type Questions as classified in NCERT Exemplar
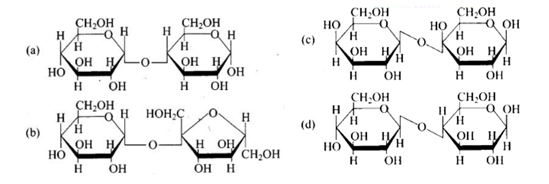
The configuration of different anomers at C-I is distinct. It is known as the form if the hydroxyl group (-OH) is present on the right side of anomeric carbon, and it is known as the? form if the hydroxyl group is present on the left side. As a result, option (c) represents anomers among all the supplied pairs.
Correct option is c.
New answer posted
10 months agoContributor-Level 10
This is a Multiple Answer Type Questions as classified in NCERT Exemplar
Sucrose is a disaccharide (sometimes known as cane sugar). One molecule of glucose and one molecule of fructose are produced when sucrose is digested. The reaction is depicted in the diagram below.
Correct option is c.
New answer posted
10 months agoContributor-Level 10
This is a Multiple Answer Type Questions as classified in NCERT Exemplar
Ans: The Correct option is b. In humans and animals, glycogen is mostly synthesized and stored in the liver and skeletal muscle cells. Glycogen accounts for around 5-6% of the liver's fresh weight, and an adult liver weighing 1.5kg can store approximately 100-120 gms of glycogen.
New question posted
10 months agoNew answer posted
10 months agoContributor-Level 10
This is a Multiple Answer Type Questions as classified in NCERT Exemplar
The Correct option is b Glycogen resembles amylopectin in structure. It's a ? −D− glucose unit branched chain polymer with C1−C4 glycosidic linkage and C1−C6 glycosidic linkage branching. The structure of amylopectin is depicted in the diagram below.

Taking an Exam? Selecting a College?
Get authentic answers from experts, students and alumni that you won't find anywhere else
Sign Up on ShikshaOn Shiksha, get access to
- 66k Colleges
- 1.2k Exams
- 690k Reviews
- 1850k Answers



