Chemistry NCERT Exemplar Solutions Class 12th Chapter One
Get insights from 118 questions on Chemistry NCERT Exemplar Solutions Class 12th Chapter One, answered by students, alumni, and experts. You may also ask and answer any question you like about Chemistry NCERT Exemplar Solutions Class 12th Chapter One
Follow Ask QuestionQuestions
Discussions
Active Users
Followers
New answer posted
10 months agoNew answer posted
10 months agoContributor-Level 10
Aniline makes adduct with AlCl3 and thus gets deactivated for electrophilic aromatic substitution and do not react with CH3-Cl
New answer posted
10 months agoContributor-Level 10
Reducing sugar must have hemi-acetal group and option (A) has that group.
New answer posted
10 months agoContributor-Level 10
Electron donating group increases stability of diazonium salt. Whereas electron with drawing group decrease it.
-OCH3 (+M), -NO2 & -CN (-M)
New answer posted
10 months agoContributor-Level 10
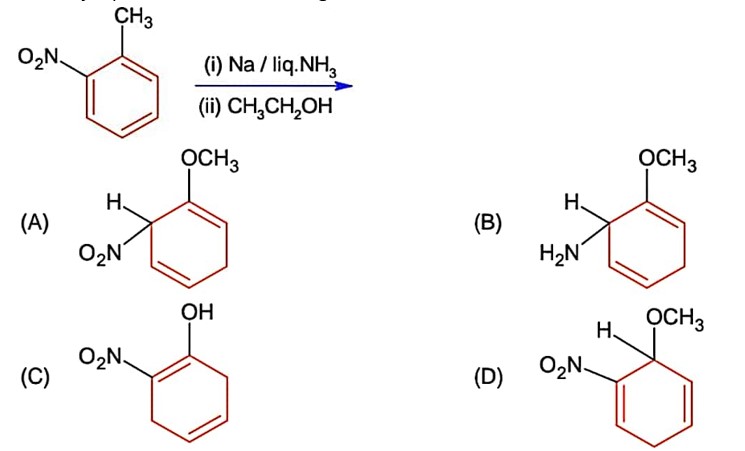
Birch reduction takes place of carbon connected with electron withdrawing group (-NO2)
New answer posted
10 months agoContributor-Level 10
Both indicated hydrogen atoms repel each other so due steric hinderance the given compound becomes non planar. It is non-aromatic.
Taking an Exam? Selecting a College?
Get authentic answers from experts, students and alumni that you won't find anywhere else
Sign Up on ShikshaOn Shiksha, get access to
- 66k Colleges
- 1.2k Exams
- 691k Reviews
- 1850k Answers






