Chemistry NCERT Exemplar Solutions Class 12th Chapter Thirteen
Get insights from 127 questions on Chemistry NCERT Exemplar Solutions Class 12th Chapter Thirteen, answered by students, alumni, and experts. You may also ask and answer any question you like about Chemistry NCERT Exemplar Solutions Class 12th Chapter Thirteen
Follow Ask QuestionQuestions
Discussions
Active Users
Followers
New answer posted
10 months agoContributor-Level 10
Due to formation of anilinium ioin in acidic medium meta product is also obtained.
New answer posted
10 months agoContributor-Level 10
Reaction is
Mass of product, 1, 2, 2- tetrobromopropane obtained
=
= 3.30375
= 3.0375 * 10-1
New question posted
10 months agoNew answer posted
10 months agoContributor-Level 10
Sol. At equilibrium rate of forward and backward reaction becomes equal.
New answer posted
10 months agoContributor-Level 10
Sol. A - B has the lowest potential energy and it means it has stronger bond.
New answer posted
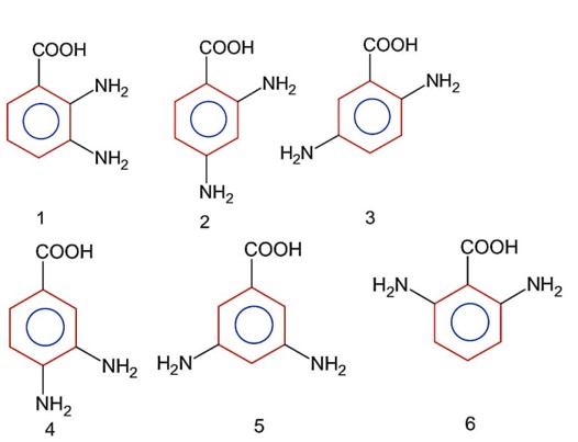
10 months agoContributor-Level 10

Above are the six possible forms of diaminobenzoic acid.
On decarboxylation we get;

Taking an Exam? Selecting a College?
Get authentic answers from experts, students and alumni that you won't find anywhere else
Sign Up on ShikshaOn Shiksha, get access to
- 66k Colleges
- 1.2k Exams
- 691k Reviews
- 1850k Answers
