Chemistry NCERT Exemplar Solutions Class 12th Chapter Thirteen
Get insights from 127 questions on Chemistry NCERT Exemplar Solutions Class 12th Chapter Thirteen, answered by students, alumni, and experts. You may also ask and answer any question you like about Chemistry NCERT Exemplar Solutions Class 12th Chapter Thirteen
Follow Ask QuestionQuestions
Discussions
Active Users
Followers
New answer posted
11 months agoContributor-Level 10
This is a Multiple Choice Questions as classified in NCERT Exemplar
Ans: Option (A and B)
Benzene diazonium chloride reacts with phenol to form p-hydroxy azobenzene by coupling the phenol molecule at its para position with the diazonium salt. This is referred to as a coupling reaction. This is an illustration of an electrophilic substitution reaction.
New answer posted
11 months agoContributor-Level 10
This is a Multiple Choice Questions as classified in NCERT Exemplar
Ans: a and b
In addition to the nitro derivatives, direct nitration of aniline produces tarry oxidation products. Furthermore, aniline is protonated in the strongly acidic medium to form the anilinium ion, which is meta directing. As a result, in addition to the ortho and para derivatives, a significant amount of meta derivative is formed.
However, by protecting the? NH2 group with an acetylation reaction with acetic anhydride, the nitration reaction can be controlled and the p-nitro derivative obtained as the main product.
New answer posted
11 months agoContributor-Level 10
This is a Multiple Choice Questions as classified in NCERT Exemplar
Ans: option a and c
(a) Primary alkyl halides react with ammonia to give primary amines. Correct reaction.
(B) Elimination process doesn't occur with aq. KOH, hydrolysis process takes place. (B) is incorrect.
(c) Dehydrohalogenation I.e. elimination of HCl occurs which produces alkene as the product takes place with alc. KOH . (c) is correct.
(d) In this reaction, aliphatic primary amines, on treatment with nitrous acid, produce primary alcohol as a product.
Therefore (d) is incorrect.
New answer posted
11 months agoContributor-Level 10
This is a Multiple Choice Questions as classified in NCERT Exemplar
Ans: (a and b)
Gabriel synthesis is a method for producing primary amines. When phthalimide is treated with ethanolic potassium hydroxide, it forms a potassium salt of phthalimide, which when heated with an alkyl halide and then alkaline hydrolyzed yields the corresponding primary amine.
New answer posted
11 months agoContributor-Level 10
This is a Multiple Choice Questions as classified in NCERT Exemplar
Ans: A, B & C
As the NH2 group is Ortho para directing group, so Br+ attacks only at the o and p positions thus the products formed corresponds to the option A, B and C.
New answer posted
11 months agoContributor-Level 10
This is a Multiple Choice Questions as classified in NCERT Exemplar
Ans: Option a and b
NHCOCH3 is an ortho- para directing group so ortho-para products are formed.
New answer posted
11 months agoContributor-Level 10
This is a Multiple Choice Questions as classified in NCERT Exemplar
Ans: option (B and C)
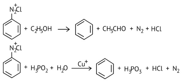
Certain mild reducing agents like hypophosphorous acid (phosphinic acid) or ethanol reduce diazonium salts to arenes and themselves get oxidised to phosphorous acid and ethanol, respectively.
New answer posted
11 months agoContributor-Level 10
This is a Multiple Choice Questions as classified in NCERT Exemplar
Ans: (A and B)
When aliphatic and aromatic primary amines are heated with chloroform and ethanolic potassium hydroxide, they form isocyanides or carbylamines, which have a foul odor. This reaction does not occur in secondary or tertiary amines.
New answer posted
11 months agoContributor-Level 10
This is a Multiple Choice Questions as classified in NCERT Exemplar
Ans: (A, B & C)
Nitro compounds are reduced to amines by passing hydrogen gas through an acidic medium containing finely divided nickel, palladium, or platinum, as well as by reduction with metals in an acidic medium.
New answer posted
11 months agoContributor-Level 10
This is a Multiple Choice Questions as classified in NCERT Exemplar
Ans: (C and D)
Chlorobenzene and bromobenzene are prepared by the sandmeyer's reaction.
While fluorobenzene and iodobenzene are prepared by simple heating of diazonium salt with aqueous KI Solution.
Taking an Exam? Selecting a College?
Get authentic answers from experts, students and alumni that you won't find anywhere else
Sign Up on ShikshaOn Shiksha, get access to
- 66k Colleges
- 1.2k Exams
- 691k Reviews
- 1850k Answers











