Class 11th
Get insights from 8k questions on Class 11th, answered by students, alumni, and experts. You may also ask and answer any question you like about Class 11th
Follow Ask QuestionQuestions
Discussions
Active Users
Followers
New question posted
2 months agoNew question posted
2 months agoNew answer posted
2 months agoNew answer posted
2 months agoContributor-Level 10
Hess's law
ΔH_solution = ΔH_lattice + ΔH_hydration
4 = 788 + ΔH_hydration
ΔH_hydration = -784 kJ mol? ¹
New answer posted
2 months agoContributor-Level 10
In isoelectronic species nuclear charge can be approximated as
Nuclear charge ≈ z / no. of electrons
Al³? Mg²? Na? F? O²? N³?
Nuclear Charge: 13/10 12/10 11/10 9/10 8/10 7/10
Minimum nuclear charge is in N³? and maximum is in Al³?
So order should be
Al³? < Mg? < Na? < F? < O? < N?
New answer posted
2 months agoContributor-Level 10
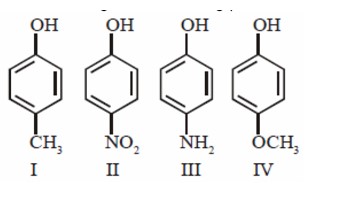
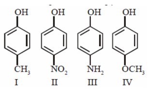
Using VSEPR, L.P - B.P repulsion we can safely say that CH? should have the highest bond angle among the given
New answer posted
2 months agoContributor-Level 10
P = constant
m (dv/dt) = P
∫? vdv = P/m ∫? dt
v²/2 = Pt/m ⇒ v = (2Pt/m)¹/²
dx/dt = √ (2P/m) t¹/²
∫? dx = √ (2P/m) ∫? t¹/² dt
x = √ (2P/m) (t³/² / (3/2) = √ (2P/m) * (2/3) * t³/²
= (2/3) * 27 = 18
New answer posted
2 months agoContributor-Level 10
V_rms = √ (3RT/M)
V_N? = V_H?
√ (3RT_N? / M_N? ) = √ (3RT_H? / M_H? )
573/28 = T_H? /2
⇒ T_H? = 40.928
New answer posted
2 months agoContributor-Level 10
L_i = L_f
mvL = Iω
mvL = (ML³/3 + mL²)ω
Before collision
After collision
0.1 * 80 * 1 = (0.9 * 1²)/3 + 0.1 * 1²)ω
8 = (3/10 + 1/10)ω 8 = (4/10)ω ω = 20 rad/sec
Taking an Exam? Selecting a College?
Get authentic answers from experts, students and alumni that you won't find anywhere else
Sign Up on ShikshaOn Shiksha, get access to
- 65k Colleges
- 1.2k Exams
- 679k Reviews
- 1800k Answers




