Continuity and Differentiability
Get insights from 335 questions on Continuity and Differentiability, answered by students, alumni, and experts. You may also ask and answer any question you like about Continuity and Differentiability
Follow Ask QuestionQuestions
Discussions
Active Users
Followers
New answer posted
11 months agoContributor-Level 10
This is a Long Answer Type Questions as classified in NCERT Exemplar
Sol:
New answer posted
11 months agoContributor-Level 10
This is a Long Answer Type Questions as classified in NCERT Exemplar
Sol:
New answer posted
11 months agoContributor-Level 10
This is a Long Answer Type Questions as classified in NCERT Exemplar
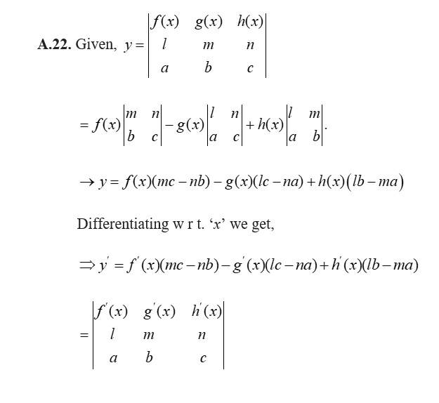
New answer posted
11 months agoContributor-Level 10
So, x = 1, x= 2 divides the real line into three disjoint intervals and
For
For
For
Hence, these polynomial fun are all continous and desirable. for all real values of x or, except x = 1 and x = 2.
ie,
For differentiavity at x = 1,
LHD =
= -2
RHD =
as L.HD ≠ R.HD
f is not differentiable at x =1.
For continuity at x = 1.
L.HL=
RHL = \ LHL = RHS
f is continuous at x = 1
For continuity & differentiability at x = 2
? LHL = RHL
f is continuous at x = 2
= 2
? LHD ≠ RHD
f is not differentiable at x = 2.
New answer posted
11 months agoContributor-Level 10
Differentiating w r t 'x' we get
Again,
Then, L.H.S =
Where c is a constant and is independent of a and b.
Taking an Exam? Selecting a College?
Get authentic answers from experts, students and alumni that you won't find anywhere else
Sign Up on ShikshaOn Shiksha, get access to
- 66k Colleges
- 1.2k Exams
- 690k Reviews
- 1850k Answers








