Continuity and Differentiability
Get insights from 335 questions on Continuity and Differentiability, answered by students, alumni, and experts. You may also ask and answer any question you like about Continuity and Differentiability
Follow Ask QuestionQuestions
Discussions
Active Users
Followers
New answer posted
10 months agoContributor-Level 10
So,
Differentiating again w r t 'x' we get,
Hence proved.
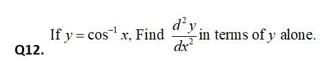
New answer posted
10 months agoContributor-Level 10
So, _______(2)
_________(3)
So, L.H.S =
= 0 = R.H.S.
New answer posted
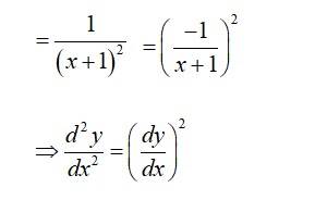
10 months agoContributor-Level 10
So,
______________(1)
Differentiating eqn (1) w r t 'x' we get,
New answer posted
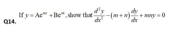
10 months agoContributor-Level 10
105. Given,
Differentiating w r t x we get,
Differentiating again w r t. 'x' we get,
. Hence proved.
Taking an Exam? Selecting a College?
Get authentic answers from experts, students and alumni that you won't find anywhere else
Sign Up on ShikshaOn Shiksha, get access to
- 66k Colleges
- 1.2k Exams
- 687k Reviews
- 1800k Answers










