Continuity and Differentiability
Get insights from 335 questions on Continuity and Differentiability, answered by students, alumni, and experts. You may also ask and answer any question you like about Continuity and Differentiability
Follow Ask QuestionQuestions
Discussions
Active Users
Followers
New answer posted
11 months agoContributor-Level 10
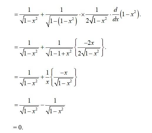
Putting we get,
________(1)
Now,
Taking log,
And
Hence eqn (1) becomes
New answer posted
11 months agoContributor-Level 10
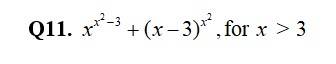
So,
_________(1)
Where
(Taking log)
(Differentiation w r t 'x')
Hence eqn (1) becomes,
Taking an Exam? Selecting a College?
Get authentic answers from experts, students and alumni that you won't find anywhere else
Sign Up on ShikshaOn Shiksha, get access to
- 66k Colleges
- 1.2k Exams
- 690k Reviews
- 1850k Answers














