Continuity and Differentiability
Get insights from 335 questions on Continuity and Differentiability, answered by students, alumni, and experts. You may also ask and answer any question you like about Continuity and Differentiability
Follow Ask QuestionQuestions
Discussions
Active Users
Followers
New answer posted
10 months agoNew answer posted
10 months agoContributor-Level 10
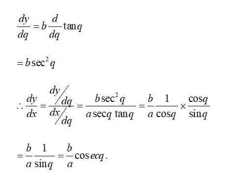
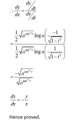
89. Given, x = sin t and y = cos2t. differentiation w r t. 't' we get,
= -4 sin t
New answer posted
10 months agoContributor-Level 10
87. Given, x = 2at2 and y = at4. Differentiation w r t we get,
and
New answer posted
10 months agoContributor-Level 10
By repeating application of produced rule
= R*H*S*
By togarith differentiating,
Let y = u v w
Taking log, log y = log u + log v + log w
Differentiating w r t 'x'
New answer posted
10 months agoContributor-Level 10
(i) by product rule
3x4 + 7x2- 15x3- 35x + 24x2 + 56 + 2x4- 5x3 + 14x2- 35x 18x-45
= 5x4- 20x3 + 45x2- 52x + 11
(ii)
Taking log in eqn (1)
Now, Differe(iii) ntiating w r t 'x' we get,
2x4 + 14x4 + 18x- 35x- 45 + 3x1- 15x3 + 24x2 + 7x2- 35x + 56]
= 5x4- 20x3 + 45x2- 52x + 11
We observed that all the methods give the same result.
New answer posted
10 months agoContributor-Level 10
84. Given, f(x) = (1 + x)(1 + x 4)(1 + x 8)
Taking log,
logf(x) = log (1 + x) + log (1 + x) + log (1 + x 4) + log (1 + x 8)
Now, Differentiating w r t 'x' we get,
Putting x = 1
f'(x) = (1 +1)(1 + 14)(1 +18)
New answer posted
10 months agoContributor-Level 10
83. Given, xy = ex-y.
Taking log,
log (x + y) = log (ex-y).
=logx + log y = (x-y) log e.
= logx +log y = x -y {Q log e = 1}
Differentiating w r t 'x' we get,
New answer posted
10 months agoContributor-Level 10
82. Given, (cos x)y = (cos y)x
Taking log, y log (cos x) = x log (cos y)
Differentiating w r t 'x' we get,
= log (cos x) + log (cos x) log (cos y) + dog (cos y)
= y´ cos x + log (cos x) = x´
= log (cos x) + x tan
= y tan x + log (cos y )
Taking an Exam? Selecting a College?
Get authentic answers from experts, students and alumni that you won't find anywhere else
Sign Up on ShikshaOn Shiksha, get access to
- 66k Colleges
- 1.2k Exams
- 687k Reviews
- 1800k Answers




