Introduction to Three Dimensional Geometry
Get insights from 93 questions on Introduction to Three Dimensional Geometry, answered by students, alumni, and experts. You may also ask and answer any question you like about Introduction to Three Dimensional Geometry
Follow Ask QuestionQuestions
Discussions
Active Users
Followers
New answer posted
11 months agoContributor-Level 10
14. Let A(x1, y1, z1) and B(x2, y2, z2) trisect the line segment joining the points P(4, 2, –6) and Q(10, –16, 6).
Since A divides PQ internally in ratio 1 : 2. Then co-ordinates of A
=
=
=
= (6, –4, –2)
Similarly B divides PQ internally in ratio 2 : 1. Then co-ordinates of B
=
=
=
= (8, –10, 2)
Hence the points which trisects the line segment joining the points P(4, 2, –6) and Q(10, –16, 6) are (6, –4, –2) and (8, –1)
New answer posted
11 months agoContributor-Level 10
13. Let P divides AB in ratio k : 1. Then co-ordinates of point P are
=
Let us examine whether the value of k, the point P coincides with point C
Putting
=>
=>
Put in
=
=
=
And put in
=
=
= 2
Therefore, C is a point which divides AB internally in ratio 2 : 1 and is same as P. Hence A, B and C are collinear.
New answer posted
11 months agoContributor-Level 10
12. Let YZ-plane divides the line segment joining A (–2, 4, 7) and B (3, –5, 8) at point P (x, y, z) in the ratio k : 1.
Then the co-ordinates of P are.
As P lies on YZ-plane its x-coordinate is zero.
i.e.
=>
=>
Hence the YZ-plane divides AB internally in ratio.
: 1 = 2 : 3
New answer posted
11 months agoContributor-Level 10
11. Let point Q divides PR in the k : 1. Then co-ordinate of Q will be
=> (5, 4, –6) =
Equating the co-ordinates we get,
= 5
=>
=>
=>
=>
=>
=>
Putting in y-coordinate and z-coordinate
=
= (4 + 2) ÷
= 6 x
= 4
And
= (–5 – 4) ÷
= – 9 x
= – 6
Which is matching with the given co-ordinates of Q.
Hence, the ration in which Q divides PR is k : 1
= : 1
= 1 : 2
New answer posted
11 months agoContributor-Level 10
10. i. Let P(x, y, z) be the point which divides line segment joining (–2, 3, 5) and (1, –4, 6) internally in the ratio 2 : 3
Therefore,
x = = =
y = = =
z = = =
Thus, the required points are
ii. Let P(x, y, z) be the point which divides line segment joining (–2, 3, 5) and (1, –4, 6) externally in the ratio 2 : 3
Therefore,
x = = = –8
y = = = 17
z = = = 3
Thus, the required points are (–8, 17, 3).
New answer posted
11 months agoNew answer posted
11 months agoContributor-Level 10
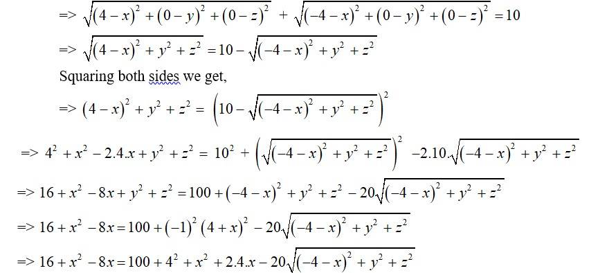
8. Let P(x, y, z) be the point equidistant from the given points (1, 2, 3) say A and (3, 2, –1) say B.
So, PA = PB
=> =
Squaring both sides,
=> =
=>
=>
=>
=>
=>
=>
Therefore, the required equation of point is
New question posted
11 months agoNew answer posted
11 months agoContributor-Level 10
4. i. The x-axis and y-axis taken together determine a plane known as XY plane.
ii. The coordinates of points in the XY-plane are of the form (x, y, 0).
iii. Coordinate planes divide the space into 8 (eight) octants.
Taking an Exam? Selecting a College?
Get authentic answers from experts, students and alumni that you won't find anywhere else
Sign Up on ShikshaOn Shiksha, get access to
- 66k Colleges
- 1.2k Exams
- 688k Reviews
- 1850k Answers





