Maths NCERT Exemplar Solutions Class 12th Chapter Seven
Get insights from 115 questions on Maths NCERT Exemplar Solutions Class 12th Chapter Seven, answered by students, alumni, and experts. You may also ask and answer any question you like about Maths NCERT Exemplar Solutions Class 12th Chapter Seven
Follow Ask QuestionQuestions
Discussions
Active Users
Followers
New answer posted
11 months agoContributor-Level 10
This is a Long answer type Questions as classified in NCERT Exemplar
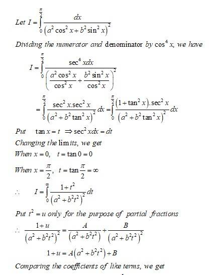
Sol:
New answer posted
11 months agoContributor-Level 10
This is a Long answer type Questions as classified in NCERT Exemplar
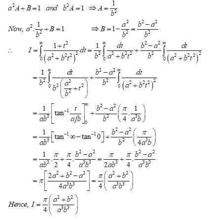
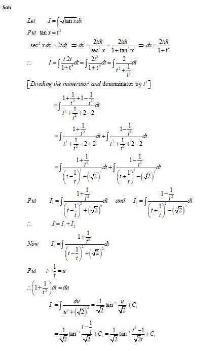
Sol:
New answer posted
11 months agoContributor-Level 10
This is a Long answer type Questions as classified in NCERT Exemplar
Sol:
New answer posted
11 months agoContributor-Level 10
This is a Long answer type Questions as classified in NCERT Exemplar
Sol:


New answer posted
11 months agoContributor-Level 10
This is a Long answer type Questions as classified in NCERT Exemplar


New question posted
11 months agoNew question posted
11 months agoNew question posted
11 months agoNew question posted
11 months agoNew question posted
11 months agoTaking an Exam? Selecting a College?
Get authentic answers from experts, students and alumni that you won't find anywhere else
Sign Up on ShikshaOn Shiksha, get access to
- 66k Colleges
- 1.2k Exams
- 691k Reviews
- 1850k Answers




