Ncert Solutions Maths class 11th
Get insights from 1.6k questions on Ncert Solutions Maths class 11th, answered by students, alumni, and experts. You may also ask and answer any question you like about Ncert Solutions Maths class 11th
Follow Ask QuestionQuestions
Discussions
Active Users
Followers
New answer posted
4 months agoContributor-Level 10
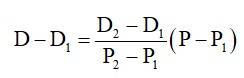
33. Assuming the price per litre say P in x-axis and the corresponding demand say D in y-axis, we have two point (14, 980) and (16, 1220) in xy plane. Then the points (P, D) will satisfy the equation.

Which is the required relation
Where P = 17, we have
D = 120 * 17 – 700
D = 1340
Hence, the owner can sell 1340 litres of milk weekly at? 17/litre
New answer posted
4 months agoContributor-Level 10
3. Given, G = {7, 8} and H = {5, 4, 2}
By the definition of the Cartesian product,
G *H = { (x, y): x∈G and y = ∈ H}
= { (7, 5), (7, 4), (7, 2), (8, 5), (8,4), (8,2)}
H* G = { (x, y): x∈ H and y ∈G}
= { (5, 7), (5, 8), (4,7), (4, 8), (2, 7), (2,8)}
New answer posted
4 months ago2. If the set A has 3 elements and the set B = {3, 4, 5}, then find the number of elements in (A*B).
Contributor-Level 10
2. Given, n (A) = 3
n (B) = 3 or B = {3,4,5}
So, number of elements in A* B = n (A* B) = n (A)* n (B) = 3 *3 = 9.
New answer posted
4 months agoContributor-Level 10
33. (i) False, as {2,3,4,5} ∩ {3,6} = {3} ≠ .Hence sets are not disjoint.
(ii) False as {a, e, i, o, u} ∩ {a, b, c, d} = {a} ≠ Hence sets are not disjoint.
(iii) True as {2,6,10,14} ∩ {3,7,11,15} = . Hence sets are disjoint.
(iv) True as {2,6,10} ∩ {3,7,11}= . Hence sets are disjoint.
New answer posted
4 months agoContributor-Level 10
32. R – Q = {x: x is a real number but not rational number}
= {x: x is an irrational number}
Since real number = rational number + irrational number
New answer posted
4 months agoContributor-Level 10
31. (i) X – Y = {a, b, c, d} – (f, b, d, g}
= {a, c}
(ii) Y – X = {f, b, d, g} – {a, b, c, d}
= {f, g}
(iii) X ∩ Y = {a, b, c, d} ∩ {f, b, d, g}
= {b, d}.
New answer posted
4 months agoContributor-Level 10
30. (i) A – B = {3,6,9,12,15,18,21} – {4,8,12,16,20}
= {3,6,9,15,18,21}
(ii) A – C = {3,6,9,12,15,18,21} – {2,4,6,8,10,12,14,16}
= {3,9,15,18,21}
(iii) A – D = {3,6,9,12,15,18,21} – {5,10,15,20}
= {3,6,9,12,18,21}
(iv) B – A = {4,8,12,16,20} – {3,6,9,12,15,18,21}
= {4,8,16,20}
(v) C – A = {2,4,6,8,10,12,14,16} – {3,6,9,12,15,18,21}
= {2,4,8,10,14,16}
(vi) D – A = {5,10,15,20} – {3,6,9,12,15,18,21}
= {5,10,20}
(vii) B – C= {4,8,12,16,20} – {2,4,6,8,10,12,14,16}
= {20}
(viii) B – D = {4,8,12,16,20} – {5,10,15,20}
= {4,8,12,16}
(ix) C – B = {2,4,6,8,10,12,14,16} – {4,8,12,16,20}
= {2,6,10,14}
(x) D – B = {5,1
New answer posted
4 months agoContributor-Level 10
29. (i) {1,2,3,4} ∩ {x : x is a natural number and 4 ≤ x ≤ 6}
{1, 2, 3, 4} ∩ {4, 5, 6}
{4} ≠∅
Hence, the given pair of set is not disjoint.
(ii) {a, e, i, o, u} ∩ {c, d, e, f}
{e} ≠∅
Hence, the given pair of set is not disjoint.
(iii) {x: x is an even integer} ∩ {x: x is are odd integer}.
=∅
As there is no integer which is both even and odd at the same time.
? Given pair of set are disjoint.
New answer posted
4 months agoContributor-Level 10
28. A = {1,2,3,4,5, 6, …}
B = {2,4,6, …}
C = {1,3,5, …}
D = {2,3,5, …, }
(i) A ∩ B = {1,2,3,4 …} ∩ {2,4,6, …} = {2,4,6 …} = B.
(ii) A ∩ C = {1,2,3,4, …} ∩ {1,3,5 …} = {1,3,5, …} = C.
(iii) B ∩ C = {2,4,6, …} ∩ {1,3,5, …} = .
(iv) B ∩ D = {2,4,6 …} ∩ {2,3,5 …} = {2}
(v) C ∩ D = {1,3,5, …} ∩ {2,3,5 …} = {3,5,7 …} = {x : x is odd prime number}
New answer posted
4 months agoContributor-Level 10
27. (i) A ∩ B = {3,5,7,9,11} ∩ {7,9,11,13}
= {7, 9, 11}
(ii) B ∩ C = {7,9,11,13} ∩ {11,13,15}
= {11,13}
(iii) A ∩ C ∩ D = (A ∩ C) ∩ D
= [ {3,5,7,9,11} ∩ {11,13,15}] ∩ {15,17}.
= {11} ∩ {15,17} = .
(iv) A ∩ C = {3,5,7,9,11} ∩ {11,13,15}.
= {11}
(v) B ∩ D = {7,9,11,13} ∩ {15,17}=
(vi) A ∩ (B∪ C) = {3,5,7,9,11} ∩ [ {7,9,11,13}∪ {11,13,15}]
= {3,5,7,9,11} ∩ {7,9,11,13,15}.
= {7,9,11}
(vii) A ∩ D = {3,5,7,9,11} ∩ {15,17} = .
(viii) A ∩ (B ∪ D) = {3,5,7,9,11} ∩ [ {7,9,11,13} ∪ {15,17}]
= {3,5,7,9,11} ∩ {7,9,11,13,15,17}
= {7,9,11}
(ix) (A ∩ B) ∩ (B ∪ C) = [ {3
Taking an Exam? Selecting a College?
Get authentic answers from experts, students and alumni that you won't find anywhere else
Sign Up on ShikshaOn Shiksha, get access to
- 65k Colleges
- 1.2k Exams
- 687k Reviews
- 1800k Answers