Ncert Solutions Maths class 11th
Get insights from 1.6k questions on Ncert Solutions Maths class 11th, answered by students, alumni, and experts. You may also ask and answer any question you like about Ncert Solutions Maths class 11th
Follow Ask QuestionQuestions
Discussions
Active Users
Followers
New answer posted
4 months agoContributor-Level 10
55. We have (k - 3) x - (4 - k2) y + k2 - 7 y + 6 = 0.
(i) When the line is parall to x-axis, all x coefficient = 0. then,
(k - 3)x - (4 -k2)y + k2 - 7y + 6 = 0 x.x - a x y where a = constant
Equating the co-efficient,
K – 3 = 0
=> k = 3
(ii) When the line is parallel to y-axis all y co-efficient = 0 then
- (4 -k)2 = 0
=> – 4 + x2 = 0
k2 = 4
k = ± 2.
(iii) When the line pares through origin, (0, 0) need satisfy the given eqn then,
k2 - 7k + 6 = 0
k2 - k – 6k + 6 = 0
k (k- 1) - 6 (k - 1) = 0
(k = 1) (k - 6) = 0
k = 1 and k = 6
New answer posted
4 months agoContributor-Level 10
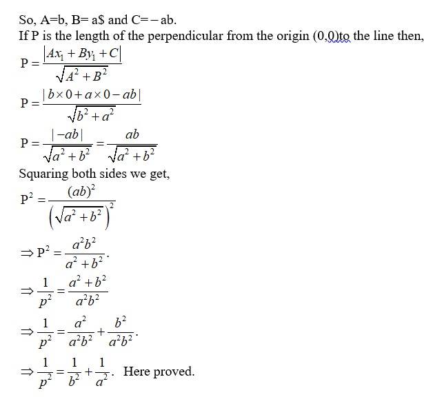
54. The equation of line whose intercept on axes are a and b is given by,
Multiplying both sides by ab we get,

New answer posted
4 months agoContributor-Level 10
53. Let P be the point on the BC dropped from vertex A.

Slope of BC
= 1.
As A P BC,
Slope of AP=
Using slope-point form the equation of AP is,
x 2 = y 3
x – y – 2 + 3 = 0 x – y + 1 = 0
The equation of line segment through B(4, -1) and C(1, 2) is.
So, A=1, B=1 and C= 3.
Hence, length of AP=length of distance of A(2,3) from BC.

New answer posted
4 months agoContributor-Level 10
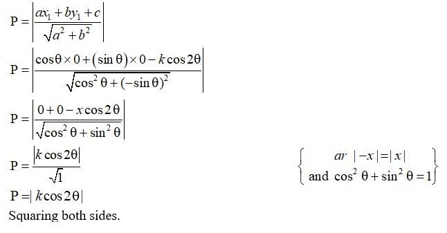
52. The given equation lines are.
line 1: xcosθ-y sin θcos 2θ
⇒ xcosθ-y sin θ - kcos 2θ = 0
The perpendicular distance from origin (0,0) to line 1 is



New answer posted
4 months agoContributor-Level 10
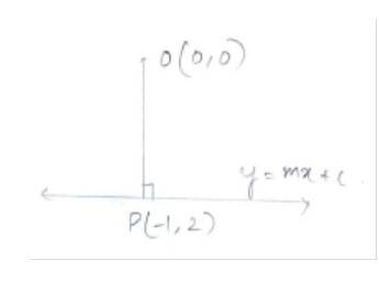
51.
Let 0 (o, o) be the origin and P (-1, 2) be the given point on the line y = mx + c.
Then, slope of OP, =

Slope of OP = -2
As the line y = mx + c is ⊥ to OP we can write

New answer posted
4 months agoContributor-Level 10
50. Let P(-1, 3) be the given point and Q(x, y,) be the Co-ordinate of the foot of perpendicular
So, slope of line 3x - 4y - 16 = 0 is
And slope of line segment joining P(-1, 3) and Q(x, y,) is
As they are perpendicular we can write as,
(y1-3)3 = - 4(x1 +1)
3y1- 9 = - 4x1- 4.
4x1 + 3y1-9 + 4 = 0
4x1 + 3y1-5 = 0 ___ (1)
As point Q(x1, y1) lies on the line 3x- 4y - 16 = 0 it must satisfy the equation hence,
3x1- 4y1- 16 = 0 ____ (2)
Now, multiplying equation (1) by 4 and equation (2) by 3 and adding then,
4* (4x1 + 3y1- 5) + 3(3x1- 4y1- 16) = 0.
16x1 + 12y1- 20 + 9x1- 12y1- 48 = 0
25x1 = 48 + 20
.
Putting value of x1 in equation (1) we get,
New answer posted
4 months agoContributor-Level 10
20. (i) Domain of the given relation = {2,5,8,11,14,17}
Since every element of the domain has one and only one image, the given relation is a fxn.
So, domain = {2,5,8,11,14,17}
range = {1}
(ii) Domain of the given relation = {2,4,6,8,10,12,14}
Since every element of the domain has one and only one image, the given relation is a fxn.
So, domain = {2, 4, 6, 8, 10, 12, 14}
range = {1,2,3,4,5,6,7}
(iii) Domain of the given relation = {1,2}
As element 1 has more than one image i.e., 3 and 5, the given relation is not a fxn.
New answer posted
4 months agoContributor-Level 10
49.
Let P(3, 9) and Q (-1, 2) be the point. Let M bisects PQ at M so,
Co-ordinate of M =
Now, slope of AB, m =
As the bisects AB perpendicular it has slope and it passes through M(1, 3) it has the equation of the form,
2x + y - 5 = 0
New answer posted
4 months agoContributor-Level 10
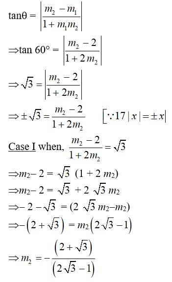
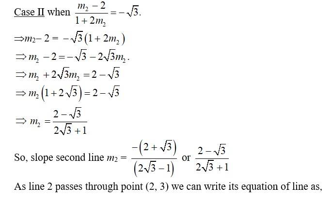
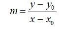
48.
Given, slope of line 1, m1 = 2.
Let m2 be the slope of line 2.
If θ is the angle between the two lines then we can write,



New answer posted
4 months agoContributor-Level 10
47.
The slope of line 4x + by + c = 0 is
m = -A/B
As the required line is parallel to the line Ax + by + c = 0
They have the same slope ie, m = -A/B
So, equation of line with slope m and passing through (x1, y1)
is given by point-slope from as,


⇒ - A (x-x1) B (y -y1)
⇒ A (x-x1) + B (y-y1)= 0.
Hence proved.
Taking an Exam? Selecting a College?
Get authentic answers from experts, students and alumni that you won't find anywhere else
Sign Up on ShikshaOn Shiksha, get access to
- 65k Colleges
- 1.2k Exams
- 687k Reviews
- 1800k Answers