Ncert Solutions Maths class 12th
Get insights from 2.5k questions on Ncert Solutions Maths class 12th, answered by students, alumni, and experts. You may also ask and answer any question you like about Ncert Solutions Maths class 12th
Follow Ask QuestionQuestions
Discussions
Active Users
Followers
New answer posted
4 months agoContributor-Level 10
= 1 [1* (−9) – 4* (−3)]–1 [2* (–9)–5* (– 3)]– 2 [2*4 −5*1]
= 1 [− 9 + 12] −1 [− 18+15] − 2 [8 − 5]
= 3 + 3 −6
= 0
New answer posted
4 months agoContributor-Level 10
= 15 + 3
= 12

=3 [1*1− (−2)*3]+4 [1*1− (−2)*2]+5 [3*1−2*1]
= 3 [1+6]+4 [1+4]+5 (3−2)
= 3*7+4*5+5*1
= 21+20+5
= 46

= 0 –1 [ − 1*0 – (−2)* (−3)] + 2 [−1*3 – (−2)*0]
= (− 1)* ( − 6)+2 (− 3)
= 6 – 6
= 0

= 2 [2*0− ( − 5)* (−1)]+3 [ (−1)* (− 1) – (− 2)*2]
= 2 (−5)+3 (1+4)
= 2 (−5) + 3* (5)
= −10+15
= 5
New answer posted
4 months agoContributor-Level 10
Given, A=
So, 2A= 2
= .
L.H.S. = = = 2*4 – 4*8 = 8−32 = −24
R.H.S. = 4 = 4 = 4 (1*2 – 2*4)
= 4 [2 − 8]
= 4 [−6] = 24.
LHS = RHS
New answer posted
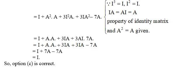
4 months agoContributor-Level 10
Given, A2= A.
(E) we need to calculate,
(I + A)3- 7A = I3 + A3 + 3IA (I + A) - 7A { (x + y)3 = x3 + y3 + 3xy (a + y)}

Taking an Exam? Selecting a College?
Get authentic answers from experts, students and alumni that you won't find anywhere else
Sign Up on ShikshaOn Shiksha, get access to
- 65k Colleges
- 1.2k Exams
- 687k Reviews
- 1800k Answers