Physics Motion in Straight Line
Get insights from 62 questions on Physics Motion in Straight Line, answered by students, alumni, and experts. You may also ask and answer any question you like about Physics Motion in Straight Line
Follow Ask QuestionQuestions
Discussions
Active Users
Followers
New answer posted
6 months agoContributor-Level 10
Graph with time must be parabola. At the highest point KE is zero
New answer posted
6 months agoContributor-Level 10
Dv = a (t + 1 – t)
a = 50 m/s2
u = 120 – 25 (2t +1)
In (t + 2)th second
= u + 25 (2t + 3)
= 120 – 25 (2t) – 25 + 25 (2t) + 75
S' = 170 m
New answer posted
6 months agoContributor-Level 10
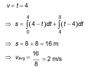
Distance travelled by the body = Sum of areas under the curve (both below and above x-axis)
New answer posted
6 months agoContributor-Level 10
Distance travelled by the body = Sum of areas under the curve (both below and above x-axis)
Taking an Exam? Selecting a College?
Get authentic answers from experts, students and alumni that you won't find anywhere else
Sign Up on ShikshaOn Shiksha, get access to
- 66k Colleges
- 1.2k Exams
- 687k Reviews
- 1800k Answers







