Probability
Get insights from 206 questions on Probability, answered by students, alumni, and experts. You may also ask and answer any question you like about Probability
Follow Ask QuestionQuestions
Discussions
Active Users
Followers
New answer posted
6 months agoContributor-Level 10
This is a Objective Type Questions as classified in NCERT Exemplar
Sol:
New answer posted
6 months agoContributor-Level 10
This is a Objective Type Questions as classified in NCERT Exemplar
Sol:
New answer posted
6 months agoContributor-Level 10
This is a Short Answer Type Questions as classified in NCERT Exemplar
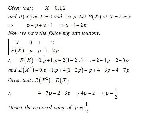
Sol:

New answer posted
6 months agoContributor-Level 10
This is a Short Answer Type Questions as classified in NCERT Exemplar
Sol:
New answer posted
7 months agoContributor-Level 10
92. Let E1 = Ball transferred from Bag I to Bag II is red
E2 = Ball transferred from Bag I to Bag Ii is black
A = Ball drawn from Bag II is red in colour
P (E1) =3/7 and P (E2) = 4/7
Let A be the event that the ball drawn is red.
When a red ball is transferred from bag I to II,
P (A | E1) = 5/10 = 1/2
When a black ball is transferred from bag I to II,
P (A | E2) = 4/10 = 2/5
New answer posted
7 months agoContributor-Level 10
91. Let the event in which A fails and B fails be denoted by EA and EB.
P (EA) = 0.2
P (EA ∩ EB) = 0.15
P (B fails alone) = P (EB) − P (EA ∩ EB)
⇒ 0.15 = P (EB) − 0.15
⇒ P (EB) = 0.3
(ii) P (A fails alone) = P (EA) − P (EA ∩ EB)
= 0.2 − 0.15
= 0.05
Taking an Exam? Selecting a College?
Get authentic answers from experts, students and alumni that you won't find anywhere else
Sign Up on ShikshaOn Shiksha, get access to
- 66k Colleges
- 1.2k Exams
- 681k Reviews
- 1800k Answers

