Probability
Get insights from 206 questions on Probability, answered by students, alumni, and experts. You may also ask and answer any question you like about Probability
Follow Ask QuestionQuestions
Discussions
Active Users
Followers
New answer posted
5 months agoContributor-Level 10
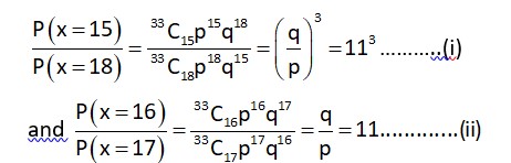
n = 33, p = success, q = failure
3P (x = 0) = P (x = 1)

Subtracting, (ii) – (i), we get 1320
New answer posted
5 months agoContributor-Level 10
Since student guesses only two wrong. So there are three possibilities
(i) both wrong in section A
(ii) both wrong in section B
(iii) one wrong in each section A and B.
Required possibilities =
New answer posted
5 months agoContributor-Level 10
Consider the equation of plane,
Plane P is perpendicular to 2x + 3y + z + 20 = 0
So,
0
P : 9x – 18y + 36z – 36 = 0
Or P : x – 2y + 4z = 4
If image of
In plane P is (a, b, c) then
and
clearly
So, a : b : c = 8 : 5 : 4
New answer posted
5 months agoContributor-Level 10
Total number of numbers from given condition = n (s) = 26
Every required number is of the form
+ 111111
Here 111111 is always divisible by 21.
Required probability = = p 96p = 33
Taking an Exam? Selecting a College?
Get authentic answers from experts, students and alumni that you won't find anywhere else
Sign Up on ShikshaOn Shiksha, get access to
- 66k Colleges
- 1.2k Exams
- 681k Reviews
- 1800k Answers




