Probability
Get insights from 206 questions on Probability, answered by students, alumni, and experts. You may also ask and answer any question you like about Probability
Follow Ask QuestionQuestions
Discussions
Active Users
Followers
New answer posted
4 months agoContributor-Level 10
ax2 + bx + c = 0
D = b2 – 4ac
D = 0
b2 – 4ac = 0
b2 = 4ac
(i) AC = 1, b = 2 (1, 2, 1) is one way
(ii) AC = 4, b = 4
(iii) AC = 9, b = 6, a = 3, c = 3 is one way
1 + 3 + 1 = 5 way
Required probability =
New answer posted
4 months agoContributor-Level 10
Let
A : Missile hit the target
B : Missile intercepted
P (B) =
Required Probability =
New answer posted
4 months agoContributor-Level 10
All entries different which can be selected as

Let be such matrix
|A| = ad – bc
Now | A| = 0 -> ad – bc = 0 cases
1, 6 3, 2 2 * 2 * 2
&nb
New answer posted
4 months agoContributor-Level 10
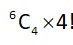
Total ways = 6!
Ways satisfying g (3) = 2g (1) is 3
Number of onto function 3 * 4!
Probability =
New answer posted
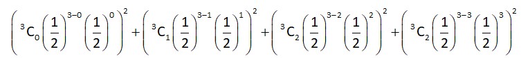
5 months agoContributor-Level 10
Required probability = probability of both getting 0 head or 1 head or 2 head or 3 head

=
Taking an Exam? Selecting a College?
Get authentic answers from experts, students and alumni that you won't find anywhere else
Sign Up on ShikshaOn Shiksha, get access to
- 66k Colleges
- 1.2k Exams
- 681k Reviews
- 1800k Answers

