Vector Algebra
Get insights from 133 questions on Vector Algebra, answered by students, alumni, and experts. You may also ask and answer any question you like about Vector Algebra
Follow Ask QuestionQuestions
Discussions
Active Users
Followers
New answer posted
4 months agoContributor-Level 10
(A)
By triangle law of addition in given triangle, we get:
So, (A) is true.
(B)
So, (B) is true.
(C)
The eQ.uation in alternative C , which is not true, is incorrect.
(D)
The, equation given is alternative is D is true.
The correct answer is C.
New answer posted
4 months agoContributor-Level 10
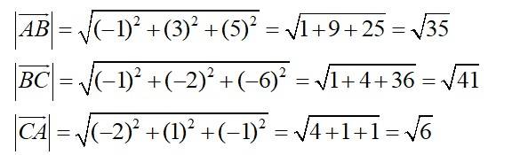
We have,
Now,

Hence,
Hence, given points from the vertices of a right angled triangle.
New answer posted
4 months agoContributor-Level 10
The Position vector of mid-point R of the vector joining point P (2,3,4) and Q (4,1, -2) is given by;
New answer posted
4 months agoContributor-Level 10
(i) The position vector of point R dividing the join of P and Q. internally in
the ratio 2:1 is,
(ii) The position vector of the point k dividing the join of P and Q. externally in the ratio 2:1
A15. (ii)
New answer posted
4 months agoContributor-Level 10
Given, A(1,2,-3) and (-1,-2,1)
Now,
Then,

Let, l, m, n be direction cosine,
Therefore, direction cosine of are
New answer posted
4 months agoContributor-Level 10
Let,
It is seen that
Where,
Therefore, we can say that the given vector are collinear.
Taking an Exam? Selecting a College?
Get authentic answers from experts, students and alumni that you won't find anywhere else
Sign Up on ShikshaOn Shiksha, get access to
- 65k Colleges
- 1.2k Exams
- 688k Reviews
- 1800k Answers