Vector Algebra
Get insights from 133 questions on Vector Algebra, answered by students, alumni, and experts. You may also ask and answer any question you like about Vector Algebra
Follow Ask QuestionQuestions
Discussions
Active Users
Followers
New answer posted
5 months agoContributor-Level 10
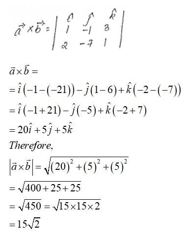
Given,
The area of a parallelogram with and as its adjacent sides is given by

New answer posted
5 months agoContributor-Level 10
Given,



Adding (2) and (3), we get
From (1) and (4), we have
Hence, proved.
New answer posted
5 months agoContributor-Level 10
Given,
and
For,
, then either or or
For,
, then either or or
In case and are non- zero on both side.
But and cannot be both perpendicular and parallel simultaneously.
So, we can conclude that
or
New answer posted
5 months agoNew answer posted
5 months agoContributor-Level 10
Let as component
We know,
is a unit vector,
Given that,
marks angles with , with and with acute angle.
Now,
We know,

New answer posted
5 months agoContributor-Level 10
Given,
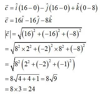
A vector which is perpendicular to both and is given by

Say

Therefore, the unit vector is
Taking an Exam? Selecting a College?
Get authentic answers from experts, students and alumni that you won't find anywhere else
Sign Up on ShikshaOn Shiksha, get access to
- 65k Colleges
- 1.2k Exams
- 679k Reviews
- 1800k Answers





