Vector Algebra
Get insights from 133 questions on Vector Algebra, answered by students, alumni, and experts. You may also ask and answer any question you like about Vector Algebra
Follow Ask QuestionQuestions
Discussions
Active Users
Followers
New answer posted
5 months agoContributor-Level 10
Given,
It is given that point R divides a line segment joining two points P and Q.
externally in the ratio 1:2 Then,
Position vector of the mid-point of RQ.
New answer posted
5 months agoContributor-Level 10
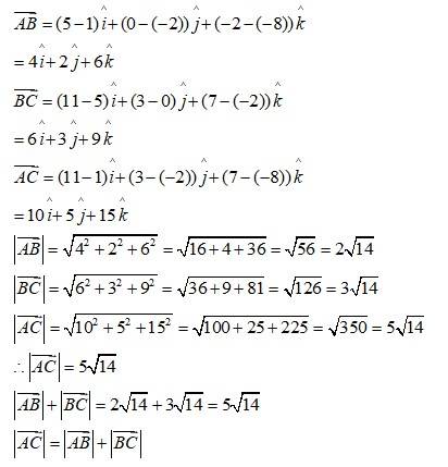
Given,
Now,

Thus, A,B and C are collinear.
Let, be the ratio that point B divides AC.
We have,
On eQ.uating the corresponding component , we get
Hence, point B divides AC in the ratio
New answer posted
5 months agoContributor-Level 10
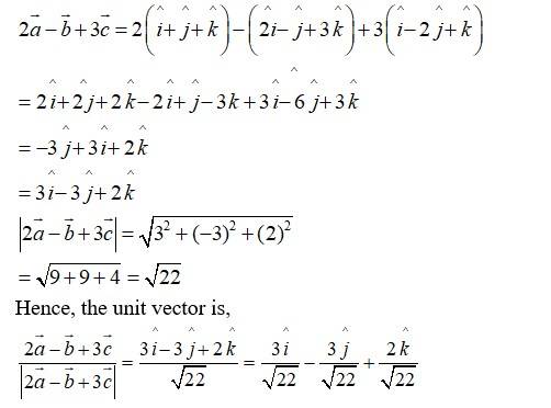
Let us take a , which

So, by triangle law of vector addition, we have
And, we know that represent, the sides of
Also, it is known that the sum of the length of any slides of a triangle is greater than the third side.
Hence, it is not true that
New answer posted
5 months agoNew answer posted
5 months agoContributor-Level 10
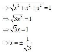
Let be unit vector in the XY-plane then,
is the angle made by the unit vector with the positive direction of the X-axis.
Then,

ReQ.uired unit vector
Taking an Exam? Selecting a College?
Get authentic answers from experts, students and alumni that you won't find anywhere else
Sign Up on ShikshaOn Shiksha, get access to
- 65k Colleges
- 1.2k Exams
- 679k Reviews
- 1800k Answers








