Vector Algebra
Get insights from 133 questions on Vector Algebra, answered by students, alumni, and experts. You may also ask and answer any question you like about Vector Algebra
Follow Ask QuestionQuestions
Discussions
Active Users
Followers
New answer posted
5 months agoContributor-Level 10
Vector is a unit vector if
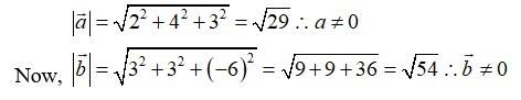
Now,
Therefore, vectar is a unit vector if a= .
Option (D)is correct.
New answer posted
5 months agoContributor-Level 10
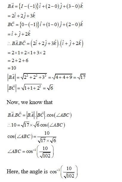
Let vector and be position vector of point A, B, C respectively.
So,
Now, vectors and represents the sides of .
Hence,

New answer posted
5 months agoNew answer posted
5 months agoContributor-Level 10
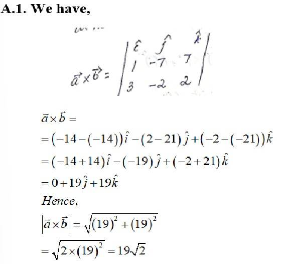
Consider
and
Then,

Therefore, the converse of the given statement need not be true.
New answer posted
5 months agoContributor-Level 10
We know,
and
Now,
is a zero vector.
Thus, vector satisfying can be any vector.
New answer posted
5 months agoContributor-Level 10
Given,
Now,
If is perpendicular to , then
Therefore, the required value of is 8.
Taking an Exam? Selecting a College?
Get authentic answers from experts, students and alumni that you won't find anywhere else
Sign Up on ShikshaOn Shiksha, get access to
- 65k Colleges
- 1.2k Exams
- 679k Reviews
- 1800k Answers



