Alcohol Phenol And Ethers
Get insights from 261 questions on Alcohol Phenol And Ethers, answered by students, alumni, and experts. You may also ask and answer any question you like about Alcohol Phenol And Ethers
Follow Ask QuestionQuestions
Discussions
Active Users
Followers
New answer posted
5 months agoContributor-Level 10
This is a short answer type question as classified in NCERT Exemplar
The IUPAC name of the given compound is:
(A) 3-Ethyl-5-methylhexane-2,4-diol
(B) 1-Methoxy-3-nitrocyclohexane
New answer posted
5 months agoContributor-Level 10
This is a short answer type question as classified in NCERT Exemplar
The structure of glycerol is:
CH2—CH—CH2
| | |
OH OH OH
The IUPAC of glycerol is Propane-1,2,3-triol.
New answer posted
5 months agoContributor-Level 10
This is a long answer type question as classified in NCERT Exemplar
Commercially, ethanol (C2H5OH) is made by fermenting carbohydrates, which is the earliest process. In the presence of an enzyme called invertase, sugar in molasses, sugarcane, or fruits like grapes is transformed to glucose and fructose (both of which have the formula C6H12O6).
In the presence of another enzyme, zymase, present in yeast, glucose and fructose are fermented.

Grapes are used to make wine because they contain sugars and yeast. The amount of sugar in grapes increases as they ripen, and yeast forms on the outer peel. When grapes are crushed, sugar and enzymes c
New answer posted
5 months agoContributor-Level 10
This is a long answer type question as classified in NCERT Exemplar


2-Hydroxybenzoic acid
&nb
New answer posted
5 months agoContributor-Level 10
This is a long answer type question as classified in NCERT Exemplar
(a) Cumene is the beginning element for the industrial production of phenol.


When bromine water is used to treat phenol. As a whitish precipitate, 2,4,6-tribromophenol is formed

New answer posted
5 months agoContributor-Level 10
This is a long answer type question as classified in NCERT Exemplar
In case of anisole, methylphenyl oxonium ion,
New answer posted
6 months agoContributor-Level 10
11.86


The first step in the mechanism of th
e given reaction is protonation of the alcohol followed by loss of water to give a 20 carbocation.
2. The next step is a rearrangement of the 20 carbocations formed in the above step is less stable it rearranges by a 1,2-hydride shift to form more stable 3° carbocations.
New answer posted
6 months agoContributor-Level 10
11.85

We know that the addition and elimination reactions are opposite of each other.Hence, for solving the above questions our approach should be to first dehydrate a suitable alcohol to give either a single alkene or a mixture of an alkene, if we obtain a mixture of alkene then we would have to detect which of the alkene will give us the desired alcohol. Wherever required the acid- catalyzed addition of water to alkenes will follow Markovnikov's rule.
New answer posted
6 months agoContributor-Level 10
11.84
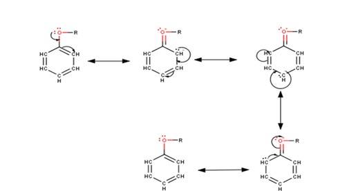
The driving force of all the reactions given to the question is that the alkoxy group is an ortho and para directing group because it exerts its +R effect in the benzene ring. Para position being comparatively more stable than the ortho position is usually preferred because ortho position leads to stearic hindrance, hence the major product is mostly the para- substituted compound.

As seen from the resonating structures above the structure in which the negative charge is in the para position will form a more stable product when attacked by an electrophile. Hence in the following reactions, we will be considering that resonating stru
New answer posted
6 months agoContributor-Level 10
11.83
The reaction of HI with methoxymethane yields two different sets of products depending upon the initial amount of HI taken.
When equal moles of HI and methoxymethane are taken, a mixture of methyl alcohol and methyl iodide is
The mechanism is given below:
In the first step, methoxymethane reacts with hydrogen iodide to extract a proton to give the dimethyloxonium ion.
In the second step of the reaction, the Dimethyloxonium ion reacts with the iodide ion present to yield methyl iodide and methyl alcohol as the product via SN2 pathway.
If an excess of HI is used the methyl alcohol formed in Step II is also converted into methyl iod
Taking an Exam? Selecting a College?
Get authentic answers from experts, students and alumni that you won't find anywhere else
Sign Up on ShikshaOn Shiksha, get access to
- 65k Colleges
- 1.2k Exams
- 679k Reviews
- 1800k Answers


