Alcohol Phenol And Ethers
Get insights from 261 questions on Alcohol Phenol And Ethers, answered by students, alumni, and experts. You may also ask and answer any question you like about Alcohol Phenol And Ethers
Follow Ask QuestionQuestions
Discussions
Active Users
Followers
New answer posted
5 months agoContributor-Level 10
This is a short answer type question as classified in NCERT Exemplar
When phenol is treated with bromine water, it forms the white precipitate of 2, 4, 6-tribromophenol. In the bromination reaction of phenol, water is ionized. And also bromine gets ionized to produce bromonium ions to a larger extent. Phenol gets ionized to produce an ortho-para directing phenoxide ion. Bromine water is mostly used as a test for C=C double bond. During this reaction white precipitates form at the end and bromine water is decolourised.
Hence, the formation of bromonium ions and strong ortho-para directing species indicates that the product formation is
New answer posted
5 months agoContributor-Level 10
This is a short answer type question as classified in NCERT Exemplar
Out of o-nitrophenol and o-cresol, o-nitrophenol is more acidic due to the -I effect and -R effect of -NO2 group as the -NO2 group is an electron withdrawing group whereas the -CH3 group is electron releasing group and has +I effect on the conjugate base which increases the electron density and decreases the polarity of O-H bond and hence less acidic.

New answer posted
5 months agoContributor-Level 10
This is a short answer type question as classified in NCERT Exemplar
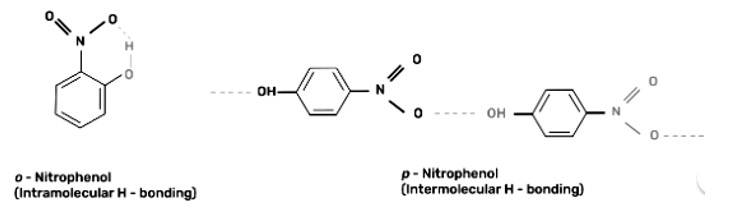
Out of o-nitrophenol and p-nitrophenol, o-nitrophenol is more volatile due to presence of intramolecular hydrogen bonding in o-nitrophenol whereas p-nitrophenol has intermolecular hydrogen bonding.

New answer posted
5 months agoContributor-Level 10
This is a short answer type question as classified in NCERT Exemplar
The strong oxidising agents such as acidified KMnO4 or K2Cr2O7 reagents are used for the conversion of ethanol to ethanoic acid. These reagents are so strong that they convert the alcohols to carboxylic acids.
New answer posted
5 months agoContributor-Level 10
This is a short answer type question as classified in NCERT Exemplar
The reagent used for the conversion of ethanol to ethanal is pyridinium chlorochromate (PCC) which is a complex formed by CrO3, pyridine and HCl which converts the primary alcohols to aldehydes.
CH3—CH2—OH
CH3—CHO
Ethanol Ethanal
New answer posted
5 months agoContributor-Level 10
This is a short answer type question as classified in NCERT Exemplar
2-chloroethanol is more acidic than ethanol because the conjugate base of 2-chloroethanol is more stable than that of ethanol due to the -I effect of chlorine atom.
Stability: Cl—CH2—CH2—OΘ > CH3—CH2—OΘ
Acidity: Cl—CH2—CH2—OH > CH3—CH2—OH
New answer posted
5 months agoContributor-Level 10
This is a short answer type question as classified in NCERT Exemplar
The reagent pyridinium chlorochromate (PCC) is a complex formed by CrO3, pyridine and HCl converts the secondary alcohol to ketone without oxidising the double bond.

New answer posted
5 months agoContributor-Level 10
This is a short answer type question as classified in NCERT Exemplar
Alcohols such as ethanol are made unfit for consumption by adding some additives like copper sulphate and pyridine which gives a foul smell, and bad taste to alcohol, it is known as denatured alcohol.
New answer posted
5 months agoContributor-Level 10
This is a short answer type question as classified in NCERT Exemplar
The solubility of alcohol in water depends upon the following factors:
(a) Hydrogen bonding: Alcohols form hydrogen bonding with water due to the presence of -OH group in alcohol and hence alcohols are soluble in water.
(b) Size of alkyl or aryl group: The alkyl and aryl group are hydrophobic in nature and larger the size of alkyl or aryl group of alcohol lesser will be the solubility of alcohol in water.
New answer posted
5 months agoContributor-Level 10
This is a short answer type question as classified in NCERT Exemplar
3-Methylpent-2-ene-1,2-diol
Taking an Exam? Selecting a College?
Get authentic answers from experts, students and alumni that you won't find anywhere else
Sign Up on ShikshaOn Shiksha, get access to
- 65k Colleges
- 1.2k Exams
- 679k Reviews
- 1800k Answers



