Aldehydes, Ketones and Carboxylic Acids
Get insights from 184 questions on Aldehydes, Ketones and Carboxylic Acids, answered by students, alumni, and experts. You may also ask and answer any question you like about Aldehydes, Ketones and Carboxylic Acids
Follow Ask QuestionQuestions
Discussions
Active Users
Followers
New answer posted
3 months agoContributor-Level 10
All carbonyl compound (aldehyde and ketone) give orange precipitate with 2,4-dinitrophenyl hydrazine (Brady's reagent)
New answer posted
3 months agoContributor-Level 9
[Aldol condensation of 2-methylcyclopentanone with acetaldehyde to form an aldol product, which then undergoes iodoform reaction to give a carboxylic acid and iodoform.]
New answer posted
3 months agoContributor-Level 10
Heating of cis-but-2-enedioic acid gives maleic anhydride as shown.
[Chemical reaction showing conversion of cis-but-2-enedioic acid to maleic anhydride upon heating]
New answer posted
3 months agoContributor-Level 10
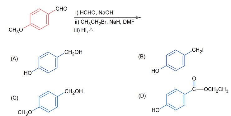
Here A is CH3 - CH2 – CH2 – COO – CH2 – CH3
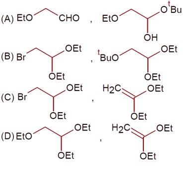
The given sequence of reaction is:
Taking an Exam? Selecting a College?
Get authentic answers from experts, students and alumni that you won't find anywhere else
Sign Up on ShikshaOn Shiksha, get access to
- 65k Colleges
- 1.2k Exams
- 679k Reviews
- 1800k Answers
















