Application of Derivatives
Get insights from 282 questions on Application of Derivatives, answered by students, alumni, and experts. You may also ask and answer any question you like about Application of Derivatives
Follow Ask QuestionQuestions
Discussions
Active Users
Followers
New answer posted
10 months agoContributor-Level 10
Let x be the depth of the wheat inside the cylindrical tank is with radius = 10 cm
Then, Volume V of the cylindrical tank is
V = π (10)2x = 100πpx m3
As
i e, rate of increasing of depth
option (A) is correct
New answer posted
10 months agoContributor-Level 10
We have,
f (x) defined on [a, b]
And f (x) > 0 ∀ x ∈ [a, b].
Let x1, x2 ∈ [a, b] and x2>x1
In the internal x1, x2], f (x) will also be continuous and differentiable.
Hence by mean value theorem, there exist c [x1, x2] such that
f (x) > 0 ∀ x ∈ [a, b].
Then, f (c) > 0.
i.e., f (x2) -f (x1) > 0
f (x2) >f (x1).
Hence, the function f (x) is always increasing on [a, b]
New answer posted
10 months agoContributor-Level 10
Let x be the radius of the sphere ad x be radius of the right circular cone.
Let height of cone = y
Then, in ΔOBA,
(y-r)2 + x2 = r2
y2 + r2- 2ry + x2 = r2
x2=2ry - y2
So, the volume V of the cone is
So,
And
At
4x -y- 3y2 = 0
asy> 0.
At y = =
Ø V is maximum when y =
New answer posted
10 months agoContributor-Level 10
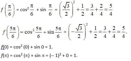
We have,
f (x) = cos2x + sin x, x∈ [0, π ].
So, f (x) = 2 cos x ( -sin x) + cos x = cos x (1 - 2 sin x).
At f (x) = 0
cosx (1 - 2 sin x) = 0
cosx = 0 or 1 - 2 sin x = 0
cosx = cos or sin x = = sin = sin
x= , x = and x = [0, π ].
So, f = cos2 + sin = 1.

Absolute minimum of f (x) = and absolute minimum of f (x) = 1.
New answer posted
10 months agoContributor-Level 10
We have,
f (x) = (x- 2)4 (x + 1)3.
So, f (x) = (x- 2)4. 3 (x + 1)2 + (x + 1)3. 4 (x- 2)3.
= (x- 2)3 [x + 1)2 [3 (x- 2) + 4 (x + 1)]
= (x- 2)3 (x + 1)2 (3x- 6 + 4x + 4)
= (x- 2)3 (x + 1)2 (7x- 2).
At f (x) = 0.
(x- 2)3 (x + 1)2. (7x- 2) = 0.
x = 2, x = -1 or x =
As (x + 1)2> 0, we shave evaluate for the remaining factor.
At x = 2,
When x< 2, f (x) = ( -ve) (+ ve) (+ ve) = ( -ve) < 0.
When x> 2, f (x) = (+ ve) (+ ve) (+ ve) = (+ ve) > 0.
Øf (x) change from ( -ve) to (+ ve) as x increases
So, x = 2 is a point of local minima
At x = -1.
When x< -1, f (x) = ( -ve) (+ ve) ( -ve) =, ve > 0.
When x> -1, f (x) = ( -ve) (+ ve) (+ ve) =∉, ve > 0.
So, f (x) does not change through x -1.
Hence, x = -1 is a point of infixion
At x =
When x< f (x)
New answer posted
10 months agoContributor-Level 10
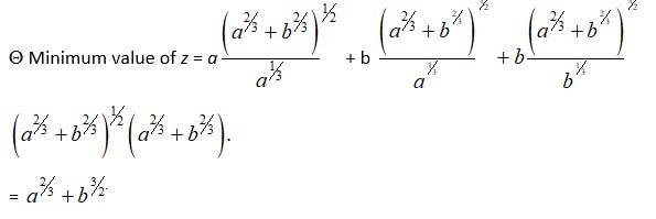
Let P be the point on hypotenuse of a triangle. ABC, t angle at B.
Which is at distance a& b from the sides of the triangle.
Let < BAC = < MPC = .
Then, in… ΔANP,

At tan Ø =
{ Øall trigonometric fxn are + ve in Ist quadrant}.
So, z is least for tanØ =
As, Sec2Ø = 1 + tan2Ø = 1 + =
secØ = =
And tan2Ø =
cot2Ø =
And cosec2Ø = 1 + cot2Ø = 1 + =
cosecØ =

New answer posted
10 months agoContributor-Level 10
Let 'x' metre be the radius of the semi-circular opening mounded on the length '2x' side of rectangle. Then, let 'y' be the breadth of the rectangle.
Then, perimeter of the window = 10m
x + 2x + 2y + = 10.
Let the area of the window be A.
Then, A =
= [-πx2- 4x2 + 20x].
So, [ -2πx - 8x + 20]
And [ -2π - 8] = -π -4 = -( π+ 4)
At
[ -2πx - 8x + 20] = 0
2x + 8x = 20
x = =
At x = = -( π+ 4) < 0
Øx = is a point of minima.
And y =
Ø Dimensions of the window are
length = 2x =
breadth = y
radius = y =
New answer posted
10 months agoContributor-Level 10
Let r and s be the radius of the circle and length of side of square.
Then, sum of perimeter of circle and square = k
2πr +4s = k
s =
The area A be the total areas of the circle and square.
Then, A = πr2 + s2
So,
And
At
At

s =
s = 2r.
Hence, proved.
Taking an Exam? Selecting a College?
Get authentic answers from experts, students and alumni that you won't find anywhere else
Sign Up on ShikshaOn Shiksha, get access to
- 66k Colleges
- 1.2k Exams
- 688k Reviews
- 1850k Answers





