Application of Derivatives
Get insights from 282 questions on Application of Derivatives, answered by students, alumni, and experts. You may also ask and answer any question you like about Application of Derivatives
Follow Ask QuestionQuestions
Discussions
Active Users
Followers
New answer posted
10 months agoContributor-Level 10
Let x and y meters be the length and breath of the rectangular base of the tank respectively.
Then, volume V of the tank is
V = length * depth * breath.
V = 2xy = 8m3(given).
Let 't' be the total cost of building the tank.
Then, t = cost of base + cost of sides.
= 70xy + 45[4x+4y] {there are four sides.
= 70xy + 180x+ 180y.
=
So,
And
At
x = ± 2
x = 2, (x = length and it cannot be negative)
At x = 2,
x = 2 is point of maxima.
Hence, minimum cost = = 280 + 360 + 360 = 1000.
New answer posted
10 months agoContributor-Level 10
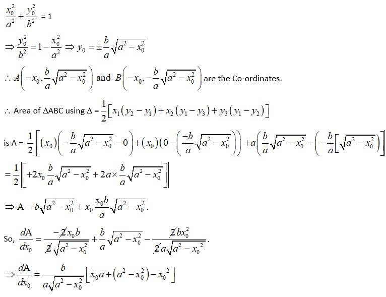
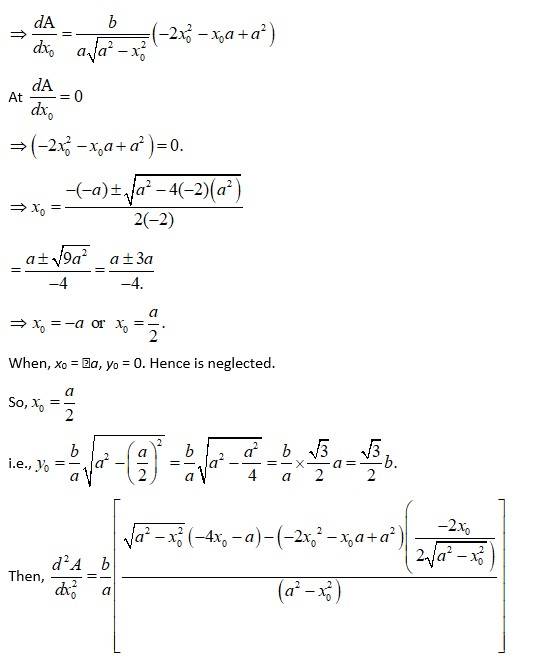
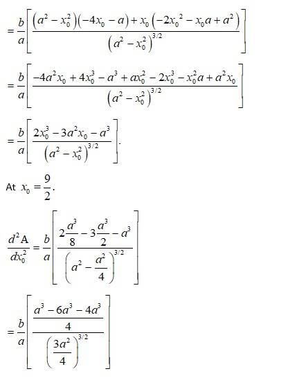
The given equation of the ellipse is (1)
Let the major axis be along x-axis so, vertex is at
Let ΔABC be the isosceles triangle inscribed on the
ellipse with one vertex C at (a, 0).
Then, let A have Co-ordinate (x0, yo) from figure.
So, Co-ordinate of B = (x0, y0)
As A and B lies on the ellipse, from equation (i),




New answer posted
10 months agoContributor-Level 10
We have, f(x) =
{
At
So we have three disjoint internal i.e.,
When,
So, f(x) is increasing.
When
So, f(x) is decreasing.
When
f(x) =
So, f(x) is increasing.
f(x) is increasing for x(∞,1) and [1, ∞] and decreasing for x[1, 1].
New answer posted
10 months agoContributor-Level 10
We have, f(x)=
So,
Now,
And, as cos x lies in [1, 1].
So, (i) for increasing, f(x) ≥ 0.
cosx ≥ 0.
x lies in Ist and IVth quadrant.
i.e., f(x) is increasing for and
(ii) for decreasing, f(x) ≤ 0.
cosx ≤ 0.
x lies in IInd and IIIrd quadrant.
i.e., f(x) is decreasing for .
New answer posted
10 months agoContributor-Level 10
We have
Slope of the normal at any point is
The equation of the normal at a given point is given by,
Now, the perpendicular distance of the normal from the origin is

New answer posted
10 months agoContributor-Level 10
Equation of the curve is
Now, the slope of the normal at point is
Equation of the normal at is
New answer posted
10 months agoContributor-Level 10
Let 'b' and 'x' be the fixed base and equal side of isosceales triangle.
Then, cm/s (Ø decreasing).

New answer posted
10 months agoContributor-Level 10
We have, f(x)
f(x) =
f(x) =
=
= =
At extreme points, f(x) = 0.
At x = e, f"(e) =
x = e is a point of maximum.
New answer posted
10 months agoContributor-Level 10
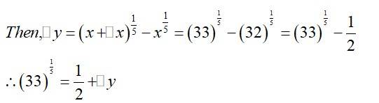
(a) Consider
Now, is approximately equal to and is given by,
Hence, the approximate value of is
=0.677
(b)
(b) Consider

Now, is approximately equal to and is given by,
Hence, the approximate value of
is
New answer posted
10 months agoContributor-Level 10
We have,
At f(x) = 0.
2x – 1 = 0
=
Option (B) is
Hence maximum value of f(x) = at x = 1 and x = 0.
Option (c) is correct.
Taking an Exam? Selecting a College?
Get authentic answers from experts, students and alumni that you won't find anywhere else
Sign Up on ShikshaOn Shiksha, get access to
- 66k Colleges
- 1.2k Exams
- 688k Reviews
- 1850k Answers
