Integrals
Get insights from 366 questions on Integrals, answered by students, alumni, and experts. You may also ask and answer any question you like about Integrals
Follow Ask QuestionQuestions
Discussions
Active Users
Followers
New answer posted
10 months agoContributor-Level 10
Here f (x) = x17 cos4x
f ( -x) = ( -x)17 cos4 ( -x)
= -x17 cos4x
= f (x)
i e, odd fxn
As for odd fxn
therefore, I = 0.
New answer posted
10 months agoContributor-Level 10
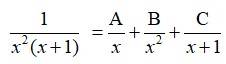
Let
The integrand is of the form.

1 = Ax (x + 1) + B (x + 1) + Cx2
= A (x2 + x) + B (x + 1) + Cx2
Comparing the coefficients,
A + C = 0 ____ (1)
A + B = 0 ______ (2)
B = 1 ________ (3)
Putting Equation (3) in (2),
A + 1 = 0
A = -1.
and putting value of A in Equation (1),
-1 + C = 0
C = 1
Hence proved.
New answer posted
10 months agoContributor-Level 10
Let I =
I =
I = I1 + I2 + I3______(1)
So, I1 = |x – 1| dx .
=
=
=
I2 =
=
=
=
=
=
=
I3 =
=
=
=
=
=
Hence Equation (1) becomes
I =
I =
New answer posted
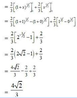
10 months agoContributor-Level 10
Let I =
=
Putting sin x = t =>cos xdx = dt.
whenx = 0, t = sin 0 = 0.
? I =
=
=
=
=
=
=
=
New answer posted
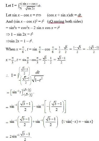
10 months agoContributor-Level 10
Let I =
Let sin x – cos x = t. =>(cosx + sin x) dx = dt.
and (sin x – cos x)2 = t2
sin2x + cos2x – 2 sin x cos x = t2
1 – sin2x = t2.
sin2t = 1 - t2.
When x = 0, t = sin 0 – cos 0 = –1

? I =
=
=
=
=
=
=
=
=
=
=
=
=
Taking an Exam? Selecting a College?
Get authentic answers from experts, students and alumni that you won't find anywhere else
Sign Up on ShikshaOn Shiksha, get access to
- 66k Colleges
- 1.2k Exams
- 688k Reviews
- 1850k Answers







