Integrals
Get insights from 366 questions on Integrals, answered by students, alumni, and experts. You may also ask and answer any question you like about Integrals
Follow Ask QuestionQuestions
Discussions
Active Users
Followers
New answer posted
10 months agoContributor-Level 10
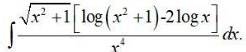
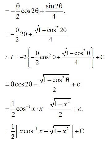
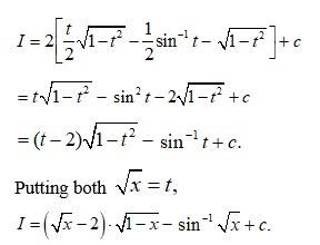
=
=
=
=
=
=
=
=
=
=
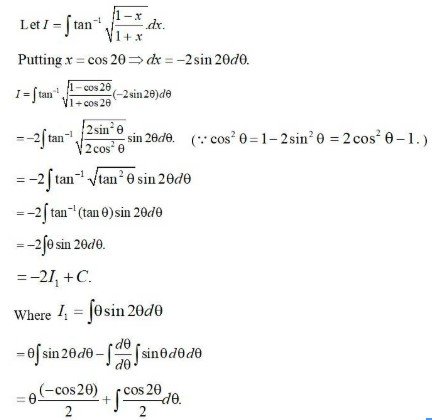
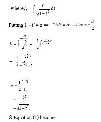
where I1 =
Putting 2tan x = t =>2 sin2xdx = dt& when x = 0, t = 2 tan (0) = 0
x = , t = 2 tan = ∞
I1 =
=
= tan–1 (∞) – tan–10
= =
? I =
New answer posted
10 months agoContributor-Level 10
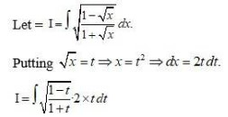
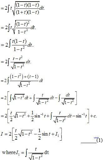
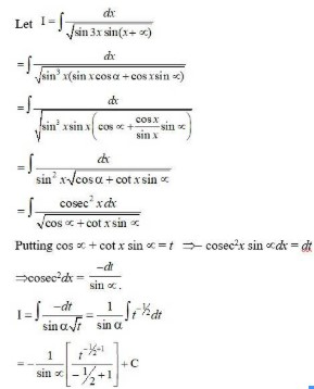
Let I =
=
=
=
=
Putting tan2x = t =>2 tan x?sec2xdx = dt
When x = 0, t = tan2x = tan2 0 = 0
x = t = tan2 = 12 = 1.
? I =
=
=
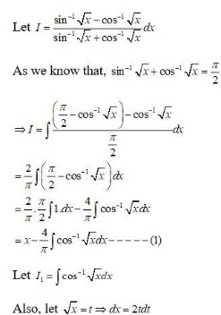
New answer posted
10 months agoContributor-Level 10
Let
The integrate is of form,
Comparing the co-efficients,
A + C = 1 .(1)
3A + B + C = 1 .(2)
2A + 2B + C = 1 .(3)
Equation. (2) – 2 * Equation (1),
A + B = –1 .(4)
Equation (3) - (1),
2A + 2B + C = A – C = 1 – 1
A + 2B = 0 .(5)
Equation (5) - Equation (4),
A + 2B - A - B = 0 - (-1)
B = 1.
From (4), A = -1 - B = -1 - 1 = -2.
And from (1), C = 1 - A = 1 - (–2) = 1+2=3
Taking an Exam? Selecting a College?
Get authentic answers from experts, students and alumni that you won't find anywhere else
Sign Up on ShikshaOn Shiksha, get access to
- 66k Colleges
- 1.2k Exams
- 688k Reviews
- 1850k Answers

















