Limits and Derivatives
Get insights from 93 questions on Limits and Derivatives, answered by students, alumni, and experts. You may also ask and answer any question you like about Limits and Derivatives
Follow Ask QuestionQuestions
Discussions
Active Users
Followers
New answer posted
10 months agoContributor-Level 10
(i) f(x)=sin x cos x
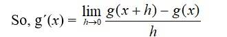
So,
So,
(iii) Given f(x)=5 sec x+4 cosx.
So,
(v) Given,f(x)=3 cot x+5cosecx.
So,
New answer posted
10 months agoContributor-Level 10
29.
Given, f (x) = (x-a1) (x-a2)… (x-an)
So,
= (a1-a1) (a1-a2) … (a1-an)
= 0 (a1-a2) … (a1-an)
= 0
And
= (a-a1) (a-a2) … (a-an)
New answer posted
12 months agoNew answer posted
12 months agoContributor-Level 10
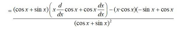
72. Given, f (x) = (x + sec x) (x tan x)
So, f?(x) = (x + see x)

Let g(x) = tan x.
So, g?(x) = ![]()

. _____ (2)
And P(x) = see x.


= tan x sec x. ____ (3)
Putting (2) and (3) in (1) we get,
f?(x) = (x + sec x) (1 - sec2x) + (x- tan x) (1 + tan x sec x)
New answer posted
12 months agoContributor-Level 10
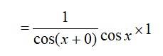
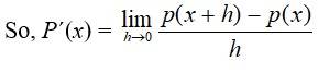
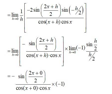
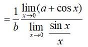
71. Given, f (x) =

Dividing numerator and denominator by cos2x we get,

Taking an Exam? Selecting a College?
Get authentic answers from experts, students and alumni that you won't find anywhere else
Sign Up on ShikshaOn Shiksha, get access to
- 66k Colleges
- 1.2k Exams
- 691k Reviews
- 1850k Answers





