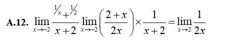
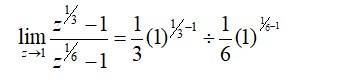
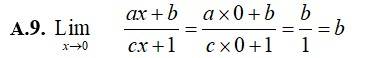
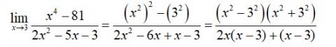
Limits and Derivatives
Get insights from 93 questions on Limits and Derivatives, answered by students, alumni, and experts. You may also ask and answer any question you like about Limits and Derivatives
Follow Ask Question
93
Questions
0
Discussions
4
Active Users
0
Followers
Taking an Exam? Selecting a College?
Get authentic answers from experts, students and alumni that you won't find anywhere else
Sign Up on ShikshaOn Shiksha, get access to
- 66k Colleges
- 1.2k Exams
- 681k Reviews
- 1800k Answers









