Limits and Derivatives
Get insights from 93 questions on Limits and Derivatives, answered by students, alumni, and experts. You may also ask and answer any question you like about Limits and Derivatives
Follow Ask QuestionQuestions
Discussions
Active Users
Followers
New answer posted
12 months agoContributor-Level 10
68. Given, f (x) = (x + cos x) (x tan x)
So, f?(x) = (x + cos x)
Let g (x) = tan x.
So, g?(x) = 
= sec2x ______ (2)
Put (2) in (1) we get,
f?(x) = (x + cos x) (1 - sec2x) +(1 - sin x) (x- tan x)
We know that,
1 + tan2x = sec2x
Þ 1 - sec2x = - tan2x
So, f?(x) = - tan2x(x + cos x) +(x- tan x) (1 - sin x).
New answer posted
12 months agoContributor-Level 10
67. Given, f (x) = (ax2 + sin x) (p +q cos x).
So, f? (x) = (ax2 + sin x)
= q sin x (ax2 + sin x) + (p + q cos x) (2ax + cos x)
New answer posted
12 months agoContributor-Level 10
66. Given, f (x) = (x2 + 1) cos x
f? (x) = (x2 + 1)
= x2 sin x sin x + 2x cos x.
New answer posted
12 months agoContributor-Level 10
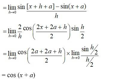
64. Given, f (x) =
Let g?(x) = sin (x + a)
So, g?(x) =

= cos (x + a)
And P(x) = cos x
So, P?(x) =

Thus, f?(x) =
New answer posted
12 months agoContributor-Level 10
63. Given, f (x) =
f?(x) =
{Copy (A)}
So, g?(x) =

= sin x ______ (2)
And p?(x) =
= cos x _____ (3)
So, put (2) and (3) in (1) we get,
New answer posted
12 months agoContributor-Level 10
62. Given, f (x) =sinnx
By chain rule,
f? (x) = n (sin x)n-1 sin x
Let (gx) = sinx
So, g? (x)
=
= cos x.
So, f? (x) = n (sin x)n-1 cos x.
New answer posted
12 months agoContributor-Level 10
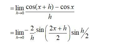
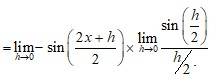
61. Given, f (x) =
So, f?(x) =
Let g(x) = cos x.
So, g?(x)
= -sin x.
So, f?(x)
New answer posted
12 months agoContributor-Level 10
60. Given, f (x) =
So, f?(x) =

Let g(x) = cos x and p(x) = sin x.
{from so g'(x) A ) (upto equation 3)
Let g(x) = cos2 and p(x) = sin x.
So, g?(x) =

= -sin x ______ (2)
And p?(x) =
= cos x _____ (3)
Putting (2) and (3) in (1) we get,
New answer posted
12 months agoContributor-Level 10
59. Given, f (x) =
So, f?(x) =

Putting (2) and (3) in (1) we get,
Taking an Exam? Selecting a College?
Get authentic answers from experts, students and alumni that you won't find anywhere else
Sign Up on ShikshaOn Shiksha, get access to
- 66k Colleges
- 1.2k Exams
- 691k Reviews
- 1850k Answers
