Ncert Solutions Maths class 11th
Get insights from 1.6k questions on Ncert Solutions Maths class 11th, answered by students, alumni, and experts. You may also ask and answer any question you like about Ncert Solutions Maths class 11th
Follow Ask QuestionQuestions
Discussions
Active Users
Followers
New answer posted
4 months agoContributor-Level 10
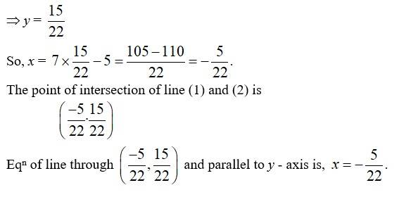
60. The given eqn of lines are
x - 7y + 5 = 0 ______ (1) ⇒ x = 7y - 5
and 3x + y = 0 _________ (2)
Solution (1) and (2) we get,
3 [7y – 5] + y = 0 .
⇒ 21y - 15 + y = 0
⇒ 22y = 15

New answer posted
4 months agoContributor-Level 10
25. Given, f(x)=
f(x)={(0,0),(1,1),(2,4),(3,9),(4,12),(5,15),(6,18),(7,21),(8,24),(9,27),(10,30)}
So, the elements in domain of f has one and only one image.
? f(x) is a function.
Given, g(x)= .
g(x)={(0,0),(1,1),(2,4),(2,6),(3,9),(4,12),(5,15),(6,18),(7,21),(8,24),(9,27),(10,30)}
So, the element 2 of the domain has more than one image i.e., 4 and 6.
? g(x) is not a function.
New answer posted
4 months agoContributor-Level 10
24. (i) f(x)=2 – 3x, x R, x>0.
Given, x>0
3x>3 * 0
3x>0
(–1) * 3x<(1) * 0.
–3x<0
2 – 3x<0+2
2 – 3x<2
i.e., f(x) < 2
Hene, range of f(x) = (– ?, 2)
(ii) Given, f(x) = x2+2, x is a real number.
Since, x is a real number,
x2 ≥ 0 (x2=0 for x=0)
x2+2 ≥ 0+2
x2+2 ≥ 2
f(x) ≥ 2
?Range of f(x) = [2, ?)
(iii) Given, f(x) = x, x is a real number.
As, f(x) = x, the range of f(x) is also real.
i.e., Range of f(x) = R.
New question posted
4 months agoNew answer posted
4 months agoContributor-Level 10
58. Let (0, y) be the point on y-axis which is at a distance 4 unit from the line
Then, the line
4x + 3y = 12.
4x + 3y - 12 = 0

New answer posted
4 months agoContributor-Level 10
57. Let a and b be the x & y intercept. Then,
_____ (1)
Given, a + b = 1. ______ (2) b = 1 -a _____ (3)
and ab = -6 _____ (4)
Putting eqn (B) in (iii) we get a
a (1- a) = - 6
a - a2 = - 6
a2 - a - 6 = 0
a2 + 2a - 3a - 6 = 0
a (a + 2) - 3 (a + 2) = 0
(a + 2) (a -3) = 0
(a + 2) (a -3) = 0.
a = 3 or a = -2.
When a = 3, b = 1- a = 1 - 3 = - 2
When a = - 2, b = 1 - (-2) = 1 + 2 = 3
So, (a, b) = (3, -2) and (-2, 3)
Hence, eqn (1) becomes,
and
2x – 3y = 6 and 2y - 3x = 6
Gives the read eqn of lines
New answer posted
4 months agoContributor-Level 10
22. Give, f (x) = 2x – 5.
(i) f (0)= (2 * 0) –5=0 – 5= –5
(ii) f (7)= (2 * 7) –5=14 – 5=9
(iii) f (–3)=2 * (–3) –5= –6 – 5= –11.
New question posted
4 months agoTaking an Exam? Selecting a College?
Get authentic answers from experts, students and alumni that you won't find anywhere else
Sign Up on ShikshaOn Shiksha, get access to
- 65k Colleges
- 1.2k Exams
- 687k Reviews
- 1800k Answers