Ncert Solutions Maths class 11th
Get insights from 1.6k questions on Ncert Solutions Maths class 11th, answered by students, alumni, and experts. You may also ask and answer any question you like about Ncert Solutions Maths class 11th
Follow Ask QuestionQuestions
Discussions
Active Users
Followers
New answer posted
4 months agoContributor-Level 10
66. The given eqn of the line is.
4x + 7y – 3 = 0 _____ (1)
2x – 3y + 1 = 0 _______ (2)
Solving (1) and (2) using eqn (1) 2 x eqn (2) we get,
(4x + 7y – 3) 2 [ (2x – 3y + 1)] = 0
4x + 7y – 3 – 4x + 6y – 2 = 0
13y = 5
y =
And 2x – 3 + 1 = 0
2x = – 1 =
Point of intersection of (1) and (2) is
Since, the line passing through has equal intercept say c then it is of the form
x + y = c
c =
the read eqn of line is x + y =
13x + 13y – 6 = 0
New answer posted
4 months agoContributor-Level 10
65. x – 2y = 3
y = - ______ (1)
Slope of line (1) is
Let the line through P (3, 2) have slope m
Then, angle between the line =
When, =>2m – 1 = 2 + m=> m = 3.
The eqn of line through (3, 2) is
y – 2 = 3 (x – 3) 3x – y – 7 = 0.
When = – 1=> 2m – 1 = – 2 – m =>3m = – 1 m =
The equation of line through (3,2) is,
y – 2 = (x – 3) => 3y – 6 = – X + 3
x + 3y – 9 = 0
New answer posted
4 months agoContributor-Level 10
64. The given eqn of the three lines are
y = m1 x + c1 ______ (1)
y = m2 x + c2 ______ (2)
y = m3 x + c3 ______ (3)
The point of intersection of (2) and (3) is given by.
y - y = (m2x + c2) - (m3 x + c3)
(m2 - m3) x = c3 - c2
Hence, y =
As the three lines are concurrent, the point of intersection of (2) and (3) lies on line (1) also
i e,
m1 (c2 - c3) - c1 (m2 - m3) + m2 c3 - m3 c2 = 0
m1 (c2 - c3) - m2 c1 + m3 c1 + m2 c3 - m3 c2 = 0
m1 (c2 - c3) + m2 (c3 - c1) + m3 (c1 - c2) = 0
New answer posted
4 months agoContributor-Level 10
63. The given eqn of the lines are.
3x + y - 2 = 0 _____ (1)
Px + 2y - 3 = 0 ______ (2)
2x - y - 3 = 0 _____ (3)
Point of intersection of (1) and (3) is given by,
(3x + y - 2) + (2x - y - 3) = 0
=> 5x - 5 = 0
=> x =
=> x = 1
So, y = 2 - 3x = 2 -3 (1) = 2 - 3 = 1.
i e, (x, y) = (1, -1).
As the three lines interests at a single point, (1, -1) should line on line (2)
i e, P * 1 + 2 * (-1)- 3 = 0
P - 2 - 3 = 0
P = 5
New answer posted
4 months agoContributor-Level 10
29. Given, f(x)=|x – 1|.
The given function is defined for all real number x.
Hence, domain of f(x)=R.
As f(x)=|x – 1|, x R is a non-negative no.
Range of f(x)=[0, ?), if positive real numbers.
New answer posted
4 months agoContributor-Level 10
28. Given, f (x)=
The given fxn is valid for all x such that x – 1 ≥ 0 ⇒x≥ 1
∴ Domain of f (x)= [1,∞)
As x ≥ 1
⇒ x – 1 ≥ 1 – 1
⇒ x – 1 ≥ 0
⇒ ≥ 0
⇒ f (x) ≥ 0
So, range of f (x)= [0,∞ )
New answer posted
4 months agoContributor-Level 10
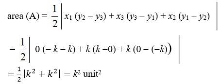
62.
The given eqn of the lines are
y - x = 0 _____ (1)
x + y = 0 ______ (2)
x - k = 0 ______ (3)
The point of intersection of (1) and (2) is given by
(y - x) - (x + y) = 0
⇒ y - x -x -y = 0
y = 0 and x = 0
ie, (0, 0)
The point of intersection of (2) and (3) is given by
(x + y) – (x – k) = 0
y + k = 0
y = –k and x = k
i.e, (k, –k)
The point of intersection of (3) and (1) is given by
x = k
and y = k
ie, (k, k).
Hence area of triangle whose vertex are (0, 0), (k, –k)
and (k, k) is

New answer posted
4 months agoContributor-Level 10
27. Given, f (x)=
The given function is valid if denominator is not zero.
So, if x2 – 8x+12=0.
⇒ x2 – 2x – 6x+12=0
⇒ x (x – 2) –6 (x – 2)=0
⇒ (x – 2) (x – 6)=0
⇒ x=2 and x=6.
So, f (x) will be valid for all real number x except x=2,6.
∴ Domain of f (x)=R – {2,6}
New answer posted
4 months agoContributor-Level 10
61. The given Eqn of the line is = 1 ______ (1)
so, Slope of line = -
The line ⊥ to line (1) say l2 has
Slope of l2 =
Let P (0, y) be the point of on y-axis where it is cut by the line (1)
Then,
y = 6
i.e, the point P has co-ordinate (0, 6)
Eqn of line ⊥ to and cuts y-axis at P (0,6) is
y – 6 = (x – 0)
3y – 18 = 2x
2x – 3y + 18 = 0
Taking an Exam? Selecting a College?
Get authentic answers from experts, students and alumni that you won't find anywhere else
Sign Up on ShikshaOn Shiksha, get access to
- 65k Colleges
- 1.2k Exams
- 687k Reviews
- 1800k Answers