Ncert Solutions Maths class 11th
Get insights from 1.6k questions on Ncert Solutions Maths class 11th, answered by students, alumni, and experts. You may also ask and answer any question you like about Ncert Solutions Maths class 11th
Follow Ask QuestionQuestions
Discussions
Active Users
Followers
New answer posted
5 months agoContributor-Level 10
2. Let the given statement be P(n) i.e.,
P(n)=13+23+33+ … +n3=
For, n=1, P(n)=13=1=
which is true.
Consider P(k) be true for some positive integer k
13+23+33+ … +k3= ---------- (1)
Now, let us prove that P(k+1) is true.
Here, 13+23+33+ … +k3+(k+1)3
By using eq (1)
=
=
=
=
=
? P(k+1) is true whenever P(k) is true.
Hence, from the principle of mathematical induction, P(n) is true for all natural numbers n.
New answer posted
5 months agoContributor-Level 10
1. Let the given statement be P(n) i.e.,
P(n): 1+3+32+ …+3n-1=
For n=1, P(1)=1=
which is true.
Assume that P(k) is true for some positive integer k i.e.,
1+3+32+ … +3k–1=
--------(1)
Now, let us prove that P(k+1) is true.
Here, 1+3+32+ … +3k–1+3(k+1)–1
[By using eq (1)]
=
=
=
=
? P(k+1) is true whenever P(k) is true.
Hence, from the principle of mathematical induction, the P(n) is true for all natural numbers n.
New answer posted
5 months agoContributor-Level 10
42. We have,
= 1
=> = 1 [multiply denominator and numerator of LHS by (1 + i)]
=> = 1 [since, (a – b) (a + b) = a2 – b2]
=> = 1 [since, i2 = –1]
=> = 1
=>im = 1
=>im = i4k [since, i4k = 1]
So, m = 4k where k = integer
Therefore, least positive integral value of m is,
m = 4 * 1
m = 4
New answer posted
5 months agoContributor-Level 10
41. Given,
(a + ib) (c + id) (e + if) (g + ih) = A + iB
We know that,

Hence proved.
New answer posted
5 months agoContributor-Level 10
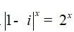
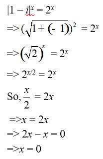
40.
So, the only solution of the given equation is 0.
Hence, there is no non – zero integral solution of the given equation.
New question posted
5 months agoNew answer posted
5 months agoContributor-Level 10
39. (x + iy)3 = u + iv
=>x3 + (iy)3 + 3.x.iy (x + iy) = u + iv [since, (a + b)3 = a3 + b3 + 3ab (a + b)]
=>x3 – iy3 + 3x2yi + 3xy2i2 = u + iv
=>x3 – iy3 + 3x2yi – 3xy2 = u + iv [since, i2 = -1]
=> (x3 – 3xy2) + i (3x2y – y3) = u + iv
Equating real and imaginary part we get,
u = x3 – 3xy2 and v = 3x2y – y3
Now, +
= +
= +
= x2 – 3y2 + 3x2 – y2
= 4x2 – 4y2
= 4 (x2 – y2)
Hence proved.
New answer posted
5 months agoContributor-Level 10
38. –
=
= [Since, (a + b)2 = a2 + b2 + 2ab
(a – b)2 = a2 + b2 – 2ab
a2 – b2 = (a + b) (a – b)]
= [Since, i2 = –1]
=
= 2i

New answer posted
5 months agoContributor-Level 10
37. Let z = (x – iy) (3 + 5i)
= 3x + 5xi – 3yi – 5yi2
= (3x + 5y) + (5x – 3y)i
Given, = –6 – 24i
=> (3x + 5y) – (5x – 3y)i = –6 – 24i
Equating real and imaginary part,
3x + 5y = –6 - (1)
5x – 3y = 24 - (2)
Multiplying (1) by 3 and (2) by 5 and adding them, we get
9x + 15y + 25x – 15y = –18 + 120
=> 34x = 102
=>x = 102/34 = 3
Putting x = 3 in (1) we get,
3 * 3 + 5y = –6
=> 9 + 5y = –6
=> 5y = –6 – 9
=> 5y = –15
=>y = –15/5 = –3
Hence, the values of x and y are 3 and –3 respectively.
New answer posted
5 months agoContributor-Level 10
36. Z1 = 2 – i, z2 = –2 + i
Z1z2 = (2 – i)(–2 + i)
= –4 + 2i + 2i – i2
= –4 + 4i + 1[since, i2 = –1]
= –3 + 4i
= 2 + i
i. =
= * [multiply denominator and numerator by (2 – i)]
=
= [since, i2 = –1]
=
=
= +
So, Re( ) =
ii. =
=
= [since, i2 = –1]
= + 0i
Therefore, Im = 0
Taking an Exam? Selecting a College?
Get authentic answers from experts, students and alumni that you won't find anywhere else
Sign Up on ShikshaOn Shiksha, get access to
- 65k Colleges
- 1.2k Exams
- 679k Reviews
- 1800k Answers

