Ncert Solutions Maths class 11th
Get insights from 1.6k questions on Ncert Solutions Maths class 11th, answered by students, alumni, and experts. You may also ask and answer any question you like about Ncert Solutions Maths class 11th
Follow Ask QuestionQuestions
Discussions
Active Users
Followers
New answer posted
5 months agoContributor-Level 10
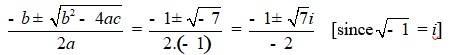
23. x2 – x + 2 = 0
Comparing the given equation with ax2 + bx + c = 0
We have, a = 1, b = –1 andc = 2
Hence, discriminant of the equation is
b2 – 4ac = (-1)2 – 4 * 1 * 2 = 1 – 8 = –7
Therefore, the solution of the quadratic equation is

New answer posted
5 months agoContributor-Level 10
21. –x2 + x – 2 = 0
Comparing the given equation with ax2 + bx + c = 0
We have, a = –1, b = 1 and c = –2
Hence, discriminant of the equation is
b2 – 4ac = 12 – 4 * (-1)* (-2) = 1 – 8 = –7
Therefore, the solution of the quadratic equation is

New answer posted
5 months agoContributor-Level 10
20. x2 + 3x + 9 = 0
Comparing the given equation with ax2 + bx + c = 0
We have, a = 1, b = 3 and c = 9
Hence, discriminant of the equation is
b2 – 4ac = 32 – 4 * 1* 9 = 9 – 36 = –27
Therefore, the solution of the quadratic equation is

New answer posted
5 months agoContributor-Level 10
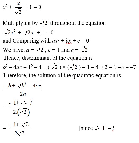
18. x2 + 3 = 0
=>x2 = –3
=>x =
=>x= ± √3 [since, √-1 = i]
=>x = 0 ± √3
Taking an Exam? Selecting a College?
Get authentic answers from experts, students and alumni that you won't find anywhere else
Sign Up on ShikshaOn Shiksha, get access to
- 65k Colleges
- 1.2k Exams
- 679k Reviews
- 1800k Answers








