Ncert Solutions Maths class 11th
Get insights from 1.6k questions on Ncert Solutions Maths class 11th, answered by students, alumni, and experts. You may also ask and answer any question you like about Ncert Solutions Maths class 11th
Follow Ask QuestionQuestions
Discussions
Active Users
Followers
New answer posted
5 months agoContributor-Level 10
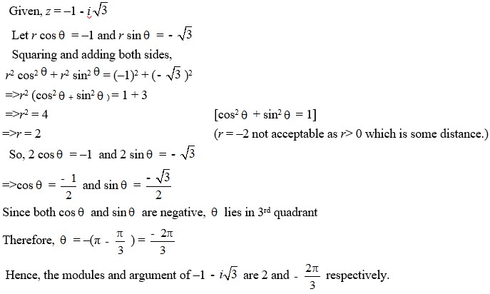
12. Let z = -i
Then = i
And |z|2 = (-1)2 = 1
So, multiplicative inverse of –i is given by
z-1 = = = I = 0 + i1

New answer posted
5 months agoContributor-Level 10
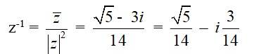
11. Let Z = 4 – 3i
Then = 4 + 3i
And, z|2 = 42+ (-3)2= 16 + 9 = 25
Hence, z-1 = = = +
New answer posted
5 months agoContributor-Level 10
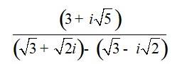
10.
=
=
= [since, (a + b)3 = a3 + b3 + 3ab(a + b)]
= (–1) [since, i3 = i2.i = –i and i2 = –1]
= (–1)
= (–1)
=
New answer posted
5 months agoContributor-Level 10
4. 3 (7 + i7) + I (7 + i7)
= 21 + 21i + 7i + 7i2
= 21 + 28i + 7 (–1) [since i2 = –1]
= 21 + 28i – 7
= 14 + 28i
Taking an Exam? Selecting a College?
Get authentic answers from experts, students and alumni that you won't find anywhere else
Sign Up on ShikshaOn Shiksha, get access to
- 65k Colleges
- 1.2k Exams
- 679k Reviews
- 1800k Answers




