Physics Electrostatic Potential and Capacitance
Get insights from 131 questions on Physics Electrostatic Potential and Capacitance, answered by students, alumni, and experts. You may also ask and answer any question you like about Physics Electrostatic Potential and Capacitance
Follow Ask QuestionQuestions
Discussions
Active Users
Followers
New answer posted
8 months agoContributor-Level 10
Heat loss; ΔH = U? - U? = 1/2 (C? / (C? +C? ) (V? -V? )²
= 1/2 * (5*2.5)/ (5+2.5) (220-0)²µJ
= 5/ (2*3) * 22*22*100*10? J
= 5*11*22/3 * 10? J = 1210/3 * 10? J = 1210/3 * 10? ³ J * 4 * 10? ²
According to questions
x/100 = 4*10? ²
So, x=4
Note: But given answer by JEE Main x=36
New answer posted
9 months agoContributor-Level 10
Before inserting slab
C_i = ε? A/d
After inserting dielectric slab
C_i = ε? lw/d
C_f = C? + C?
C_f = (Kε? A? /d) + (ε? A? /d)
C_f = 2C_i ⇒ (Kε? wx/d) + (ε? w (l-x)/d) = 2ε? lw/d
4x + l - x = 2l
x = l/3
New answer posted
9 months agoContributor-Level 10
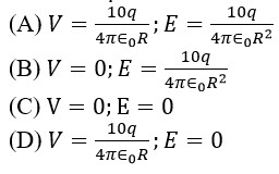
Potential of centre, = V =
Vc = K (Σq)/R
Vc = K (0)/R = 0
Electric field at centre E_B = E_B = ΣE
Let E be electric field produced by each
charge at the centre, then resultant electric field will be
Ec = 0, since equal electric field vectors are acting at equal angle so their resultant is equal to zero.
New answer posted
9 months agoContributor-Level 10
Now, using junction analysis
We can say, q? + q? + q? = 0
2 (x - 6) + 4 (x - 6) + 5 (x) = 0
x = 36/11, q? = 36 (5)/11 = 180/11
q? = 16.36µC
Taking an Exam? Selecting a College?
Get authentic answers from experts, students and alumni that you won't find anywhere else
Sign Up on ShikshaOn Shiksha, get access to
- 66k Colleges
- 1.2k Exams
- 690k Reviews
- 1850k Answers




