Physics Motion in Plane
Get insights from 107 questions on Physics Motion in Plane, answered by students, alumni, and experts. You may also ask and answer any question you like about Physics Motion in Plane
Follow Ask QuestionQuestions
Discussions
Active Users
Followers
New answer posted
7 months agoContributor-Level 9
The angular acceleration direction is given along angular velocity or opposite to angular velocity depending upon whether angular velocity magnitude is increasing or decreasing and this direction remains along the axis of circular motion.
New answer posted
7 months agoContributor-Level 10
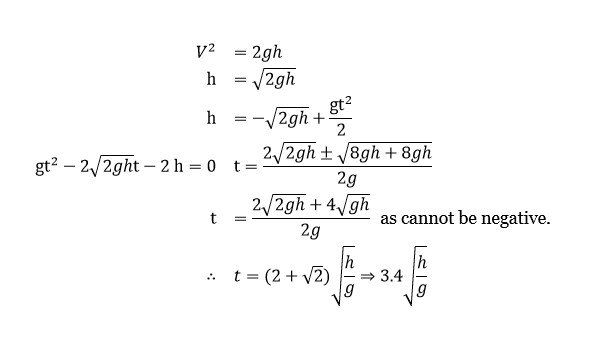
Distance in sec. i.e. to
Distance in sec.
i.e. to
So as we know
acceleration
New answer posted
7 months agoContributor-Level 9
Angle from direction of flow = 90° + θ = 120°
⇒ θ = 30°
sin 30° = u/v ⇒ u/10 = 1/2 ⇒ u = 5 m/s
New answer posted
7 months agoContributor-Level 10
The displacement S is calculated by integrating the velocity function:
S = x - x? = ∫? ¹ v dt = ∫? ¹ (v? + gt + Ft²) dt = v? + g/2 + F/3
Taking an Exam? Selecting a College?
Get authentic answers from experts, students and alumni that you won't find anywhere else
Sign Up on ShikshaOn Shiksha, get access to
- 66k Colleges
- 1.2k Exams
- 687k Reviews
- 1800k Answers




