Physics Motion in Plane
Get insights from 107 questions on Physics Motion in Plane, answered by students, alumni, and experts. You may also ask and answer any question you like about Physics Motion in Plane
Follow Ask QuestionQuestions
Discussions
Active Users
Followers
New answer posted
6 months agoContributor-Level 10
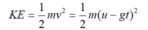
Graph with time must be parabola. At the highest point KE is zero
New answer posted
6 months agoContributor-Level 10
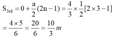
(2.5, 2.5) must lie on this
->
->
->
->
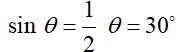
[Happens when tan θ = + 1]
New answer posted
6 months agoTaking an Exam? Selecting a College?
Get authentic answers from experts, students and alumni that you won't find anywhere else
Sign Up on ShikshaOn Shiksha, get access to
- 66k Colleges
- 1.2k Exams
- 687k Reviews
- 1800k Answers










