Physics Thermodynamics
Get insights from 156 questions on Physics Thermodynamics, answered by students, alumni, and experts. You may also ask and answer any question you like about Physics Thermodynamics
Follow Ask QuestionQuestions
Discussions
Active Users
Followers
New answer posted
8 months agoContributor-Level 10
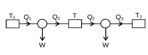
η_A = W_A/Q? = 1 - T/T?
η_B = W_B/Q? ' = 1 - T? /T
W_A = Q? (1 - T/T? ) = Q? - Q?
W_B = Q? ' (1 - T? /T) = Q? /2 (1 - T? /T)
Given W_A = W_B
Q? (1 - T/T? ) = (Q? /2) (1 - T? /T)
Q? (T? /T) (1-T/T? ) = (Q? /2) (1-T? /T)
(T? /T - 1) = (1/2) (1-T? /T)
2T? /T - 2 = 1 - T? /T
2T? /T + T? /T = 3
T = (2T? +T? )/3
New answer posted
8 months agoContributor-Level 10
Degrees of freedom (f) = 3 translational + 3 rotational + (2 * 4) vibrational = 14
γ = 1 + 2/f = 1 + 2/14 = 8/7
W = nR? T/ (γ-1) = (1 * 8.3 * (310-300)/ (8/7 - 1) = (83)/ (1/7) = 581 J
As W is positive, work is done by the gas. The solution says W<0, work done on the gas. This implies? T is negative. The question states temperature rises, so work is done on the gas. W = -582J.
New answer posted
8 months agoContributor-Level 10
-dT/dt = K [T - Ts]
- (61-59)/4 = K [ (61+59)/2 - 30]
-0.5 = K [60 - 30] = 30K
So, K = -1/60 min? ¹
Again - (51-49)/t = K [ (51+49)/2 - 30]
-2/t = (-1/60) [50-30] = -20/60 = -1/3
t = 6 min
Taking an Exam? Selecting a College?
Get authentic answers from experts, students and alumni that you won't find anywhere else
Sign Up on ShikshaOn Shiksha, get access to
- 66k Colleges
- 1.2k Exams
- 688k Reviews
- 1850k Answers









