Statistics
Get insights from 124 questions on Statistics, answered by students, alumni, and experts. You may also ask and answer any question you like about Statistics
Follow Ask QuestionQuestions
Discussions
Active Users
Followers
New answer posted
7 months agoContributor-Level 10
34. Given, n = 100.
incorrect mean ( ) = 20.
incorrect standard deviation (σ) = 3
We know that,
So, incorrect sum of observation = 2000
Correct sum of observation
= 1940

New answer posted
7 months agoContributor-Level 10
33. C.V in mathematics =
C.V in Physics =
C.V in chemistry =
Chemistry has the highest variability and mathematics has the lowest variability.
New answer posted
7 months agoContributor-Level 10
32. (i) Given, n = 20.
Incorrect mean
Incorrect standard deviation
We know that,
So, incorrect sum of observation = 200.
correct sum of observation =200 – 8 = 192
And correct mean


New answer posted
7 months agoContributor-Level 10
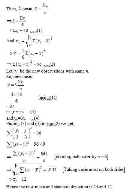
31. For n observations x1, x2,……., xn .
We have mean =
and variance =
Let yi be the new observations with same n.
So, yi = axi (3)
Now mean,
So
And, putting (3) and (4) in (2) we get,
Hence, the mean and variance of ax1, ax2, ……, axn are and a2 σ2 .
New answer posted
7 months agoNew answer posted
7 months agoContributor-Level 10
(i) The number of wage earner in firm A, nA=586. Mean monthly wages of firm

Total no of were canner in firm B.
Total monthly mages in firm. B = ?5253 * nB
=? 5253 * 586
=? 34, 03, 944
Firm B pays larger amount of monthly wages.
(ii) Since both the firm A and B has same mean monthly wages the firm with greater standard duration i.e, greater variance will have more variability in individual ways. Therefore, firm B will have more variability in individual wages.
New answer posted
7 months agoContributor-Level 10
24. We can tabulate the given data as follows.

Total =
Mean of
Mean of .

Taking an Exam? Selecting a College?
Get authentic answers from experts, students and alumni that you won't find anywhere else
Sign Up on ShikshaOn Shiksha, get access to
- 66k Colleges
- 1.2k Exams
- 681k Reviews
- 1800k Answers



