Statistics
Get insights from 119 questions on Statistics, answered by students, alumni, and experts. You may also ask and answer any question you like about Statistics
Follow Ask QuestionQuestions
Discussions
Active Users
Followers
New answer posted
6 months agoContributor-Level 10
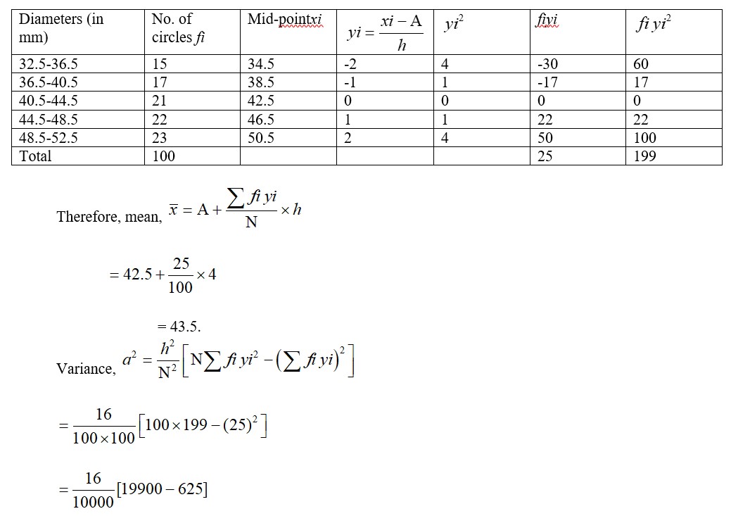
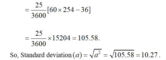
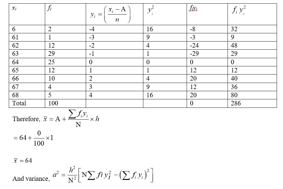
22. The given data is converted into continuous frequency duration by subtracting and adding 0.5 from lower and upper limit respectively. Lit the assumed mean be A=42.5 and h=4
New answer posted
6 months agoContributor-Level 10
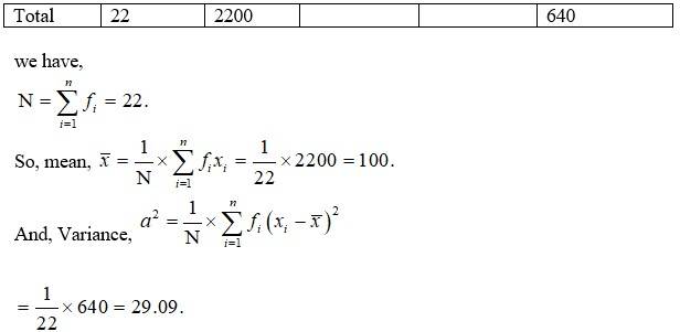
19. Let the assumed mean be A=105 and class width, h=30. The given data can be tabulated as
= 2280 - 4
= 2276.
New question posted
6 months agoNew answer posted
6 months agoContributor-Level 10
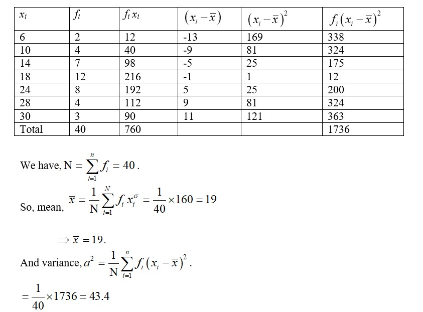
15. We have, first 10 multiples of 3=3,6,9,12,15,18,21,24,27,30.
So,
We can now tabulate the given data as following.


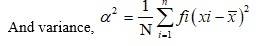
Therefore, variance,
= 74.25.
New answer posted
6 months agoContributor-Level 10
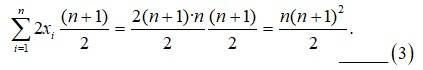
14. We know that,
Sum of first'n ' natural no
So, mean,
So, Variance,
So,

And
Putting (2), (3) and (4) in (1) we get,
Taking an Exam? Selecting a College?
Get authentic answers from experts, students and alumni that you won't find anywhere else
Sign Up on ShikshaOn Shiksha, get access to
- 65k Colleges
- 1.2k Exams
- 679k Reviews
- 1800k Answers











