Ncert Solutions Maths class 11th
Get insights from 1.6k questions on Ncert Solutions Maths class 11th, answered by students, alumni, and experts. You may also ask and answer any question you like about Ncert Solutions Maths class 11th
Follow Ask QuestionQuestions
Discussions
Active Users
Followers
New answer posted
4 months agoContributor-Level 10
12. The given data is made'continuous by subtracting 0.5 from the lower limit and adding 0.5 to the upper limit of each class. So, we cam tabulate as.
Age | number fi | c.f. | mid-point xi | |xi - M| | fi |xi - M| |
15.5-20.5 | 5 | 5 | 18 | 20 | 100 |
20.5-25.5 | 6 | 11 | 23 | 15 | 90 |
25.5-30.5 | 12 | 23 | 28 | 10 | 120 |
30.5-35.5 | 14 | 37 | 33 | 5 | 70 |
35.5-40.5 | 26 | 63 | 38 | 0 | 0 |
40.5-45.5 | 12 | 75 | 43 | 5 | 60 |
45.5-50.5 | 16 | 91 | 48 | 10 | 160 |
50.5-55.5 | 9 | 100 | 53 | 15 | 135 |
Total | 100 |
|
|
| 735 |
New answer posted
4 months agoContributor-Level 10
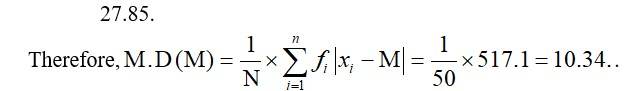
11. From the given data we can tabulate the following.
Marks | No. of girls (fi) | c.f. | mid-pointsxi | |xi - M| | fi |xi - M| |
0-10 | 6 | 6 | 5 | 22.85 | 137.1 |
10-20 | 8 | 14 | 15 | 12.85 | 102.8 |
20-30 | 14 | 28 | 35 | 2.85 | 39.9 |
30-40 | 16 | 44 | 35 | 7.15 | 114.4 |
40-50 | 4 | 48 | 45 | 17.15 | 68.6 |
50-60 | 2 | 50 | 55 | 27.15 | 54.3 |
Total | 50 |
|
|
| 517.1 |
New answer posted
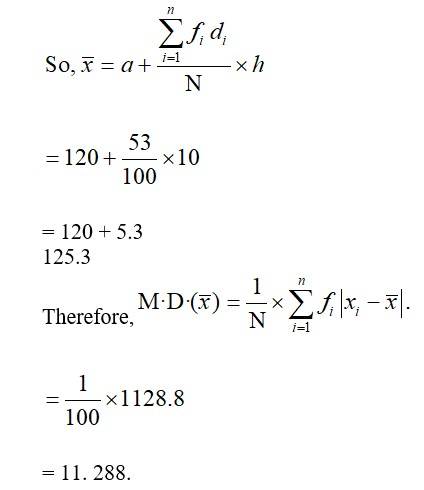
4 months agoContributor-Level 10
10. From the given data we can insulate the following.
Take the assumed mean a=120 and h=10
Heigts in cm. | No. of boys fi | Mid-pointsxi | ![]() | fidi | |xi - x? | | fi |xi - x? | |
95-105 | 9 | 100 | -2 | -18 | 25.3 | 227.7 |
105-115 | 13 | 110 | -1 | -13 | 15.3 | 198.9 |
115-125 | 26 | 120 | 0 | 5.3 | 137.8 | |
125-135 | 30 | 130 | 1 | 30 | 4.7 | 141 |
135-145 | 12 | 140 | 2 | 24 | 14.7 | 176.4 |
145-155 | 10 | 150 | 3 | 30 | 24.7 | 247 |
Total | 100 |
| 53 |
| 1128.8 |
New answer posted
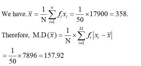
4 months agoContributor-Level 10
9. From the given data we cantabulate the following.
Income per day in ' | Number of person fi | Mid points xi | fi xi | |xi - x? | | fi |xi - x? | |
01-00 | 4 | 50 | 200 | 308 | 1232 |
100-200 | 8 | 150 | 1200 | 208 | 1664 |
200-300 | 9 | 250 | 2250 | 108 | 972 |
300-400 | 10 | 350 | 3500 | 8 | 80 |
400-500 | 7 | 450 | 3150 | 92 | 644 |
500-600 | 5 | 550 | 2750 | 192 | 960 |
600-700 | 4 | 650 | 2600 | 292 | 1168 |
700-800 | 3 | 750 | 2250 | 392 | 1176 |
Total | 50 |
| 17900 |
| 7896 |
New answer posted
4 months agoContributor-Level 10
8. From the given data we can tabulate the following.
xi | fi | c.f. | |xi - M| | fi |xi - M| |
15 | 3 | 3 | 15 | 45 |
21 | 5 | 8 | 9 | 45 |
27 | 6 | 14 | 3 | 18 |
30 | 7 | 21 | 0 | 0 |
35 | 8 | 29 | 5 | 40 |
Total | 29 |
|
| 148 |
Here N = 29 which is odd.

= 5. 10
New answer posted
4 months agoContributor-Level 10
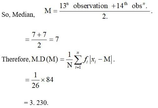
7. From the given data we cantabulate the following.
xi | fi | Cumulative frequency C.f. | |xi - M| | fi |xi - M| |
5 | 8 | 8 | 2 | 16 |
7 | 6 | 14 | 0 | 0 |
9 | 2 | 16 | 2 | 4 |
10 | 2 | 18 | 3 | 6 |
12 | 2 | 20 | 5 | 10 |
15. | 6 | 26 | 8 | 48 |
Total | 26 |
|
| 84 |
Now, N=26 which is even.
So, Median is the mean of 13th and 14th observation. Both of these observations lie in the cumulative frequency 14 for which corresponding observation is 7.

New answer posted
4 months agoContributor-Level 10
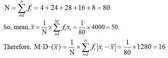
6. From the given data we tabulate the following.
xi | fi | xifi | |xi - x? | | fi |xi - x? | |
10 | 4 | 4 | 40 | 160 |
30 | 24 | 720 | 20 | 480 |
50 | 28 | 1400 | 0 | 0 |
70 | 16 | 1120 | 20 | 320 |
90 | 8 | 720 | 40 | 320 |
Total | 80 | 4000 |
| 1280 |
We have,

New answer posted
4 months agoContributor-Level 10
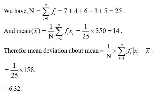
5. From the given data we have,
xi | fi | xi fi | |xi - 14| | fi |xi - 14| |
5 | 7 | 35 | 9 | 63 |
10 | 4 | 40 | 4 | 16 |
15 | 6 | 90 | 1 | 6 |
20 | 3 | 60 | 6 | 18 |
25 | 5 | 125 | 11 | 55 |
Total - | 25 | 350 |
| 158 |
New answer posted
4 months agoContributor-Level 10
4. Arranging the given data in ascending order we get,
36,42,45,46,46,49,51,53,60,72
As n = 10 (even)
= 47.5
xi | 36 | 42 | 45 | 46 | 46 | 49 | 51 | 53 | 60 | 72 |
|xi - M| | 11.5 | 5.5 | 2.5 | 1.5 | 1.5 | 1.5 | 3.5 | 5.5 | 12.5 | 24.5 |
M.D. (M)
New answer posted
4 months agoContributor-Level 10
3. Arranging the data in ascending order we get,
10,11,1112,13,13,14,16,16,17,17,18
As n=12, even
So, median is the mean of and observation.
So, deviation of respective observation about the median. are
xi | 10 | 11 | 11 | 12 | 13 | 13 | 14 | 16 | 16 | 17 | 17 | 18 |
|xi - M| | 3.5 | 2.5 | 2.5 | 1.5 | 0.5 | 0.5 | 0.5 | 2.5 | 2.5 | 3.5 | 3.5 | 4.5 |
Therefore the mean deviation about the mean is
Taking an Exam? Selecting a College?
Get authentic answers from experts, students and alumni that you won't find anywhere else
Sign Up on ShikshaOn Shiksha, get access to
- 65k Colleges
- 1.2k Exams
- 688k Reviews
- 1800k Answers