Probability
Get insights from 206 questions on Probability, answered by students, alumni, and experts. You may also ask and answer any question you like about Probability
Follow Ask QuestionQuestions
Discussions
Active Users
Followers
New answer posted
3 months agoContributor-Level 10
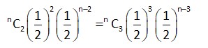
Let total number of throws = n
Probability of getting 2 times = Probability of getting an even number 3 times.

[as probability of getting odd number = probability of getting even number = ]
New answer posted
3 months agoContributor-Level 10
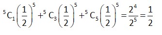
General form Σ? ? C? (1/2)? < 1/2
Σ? ? C? < 2?
⇒? C? +? C? +.? C? < 128
⇒256− (? C? +? C? +.? C? ) < 128
⇒? C? +? C? +.? C? > 128
n≥5
New answer posted
3 months agoContributor-Level 10
Given P (X=3) = 5P (X=4) and n=7
=>? C? p³q? = 5? C? p? q³
=> q = 5p and also p + q = 1
=> p = 1/6 and q = 5/6
Mean = 7/6 and variance = 35/36
Mean + Variance
= 7/6 + 35/36 = 77/36
New answer posted
3 months agoContributor-Level 10
Total case = ¹? C?
Favourable cases
? C? (Select x? )
³C? (Select x? )
? C? (Select x? )
P = (6.3.7)/¹? C? = 1/68
New answer posted
4 months agoContributor-Level 9
Two drawn cards are spades. There are 50 cards left.
The missing card could be a spade or not a spade.
P (missing card is spade) = 11/50 (since 11 spades remain out of 50 cards).
P (missing card is not spade) = 1 - 11/50 = 39/50
New answer posted
4 months agoContributor-Level 10
P (x) = f (x³) + xg (x³) is divisible by x²+x+1. The roots of x²+x+1=0 are the complex cube roots of unity, ω and ω².
P (ω) = f (ω³) + ωg (ω³) = f (1) + ωg (1) = 0 — (I)
P (ω²) = f (ω²)³) + ω²g (ω²)³) = f (1) + ω²g (1) = 0 — (II)
Subtracting (II) from (I): (ω - ω²)g (1) = 0. Since ω ≠ ω², we must have g (1) = 0.
Substituting g (1)=0 into (I) gives f (1) = 0.
We need to find P (1) = f (1³) + 1*g (1³) = f (1) + g (1).
P (1) = 0 + 0 = 0.
New answer posted
4 months agoContributor-Level 10
This is a binomial probability problem with n=5. Let p be the probability of success and q be the probability of failure.
Given P (X=1) =? C? p¹q? = 5pq? = 0.4096 — (I)
Given P (X=2) =? C? p²q³ = 10p²q³ = 0.2048 — (II)
Divide (I) by (II): (5pq? ) / (10p²q³) = 0.4096 / 0.2048 = 2.
(1/2) * (q/p) = 2 ⇒ q/p = 4 ⇒ q = 4p.
Using p+q=1, we have p+4p=1 ⇒ 5p=1 ⇒ p=1/5.
And q = 4/5.
We need to find P (X=3) =? C? p³q².
P (X=3) = 10 * (1/5)³ * (4/5)² = 10 * (1/125) * (16/25) = 160 / 3125 = 32 / 625.
Taking an Exam? Selecting a College?
Get authentic answers from experts, students and alumni that you won't find anywhere else
Sign Up on ShikshaOn Shiksha, get access to
- 66k Colleges
- 1.2k Exams
- 681k Reviews
- 1800k Answers





