Trigonometric Functions
Get insights from 128 questions on Trigonometric Functions, answered by students, alumni, and experts. You may also ask and answer any question you like about Trigonometric Functions
Follow Ask QuestionQuestions
Discussions
Active Users
Followers
New answer posted
11 months agoContributor-Level 10
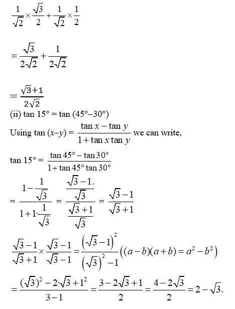
22. (i) sin 75°= sin (45°+30°)
Using sin (x + y)= sin x cos y + cos x sin y we can write
sin 75°
= sin 45°cos 30°+ 45° sin 30°

New answer posted
11 months agoContributor-Level 10
14. cosec (- 1410°)
As value of cosec x repeats after interval of 2π or 360°
∴ cosec (-1410°) = cosec (4*360°-1410°)
=cosec (1440°-1410°)
= cosec 30°
&
New answer posted
11 months agoContributor-Level 10
13. sin 765°
We know that value of sun x repeats after an interval of 2π or 360°.
Sin (765°) = sin (2*360°+45°)
= sin 45°
= 1/√2.
Taking an Exam? Selecting a College?
Get authentic answers from experts, students and alumni that you won't find anywhere else
Sign Up on ShikshaOn Shiksha, get access to
- 66k Colleges
- 1.2k Exams
- 690k Reviews
- 1850k Answers







