Work, Energy and Power
Get insights from 177 questions on Work, Energy and Power, answered by students, alumni, and experts. You may also ask and answer any question you like about Work, Energy and Power
Follow Ask QuestionQuestions
Discussions
Active Users
Followers
New answer posted
2 months agoContributor-Level 9
a = k2rt2
? tangential force, Ft = mat = mkr
Note ® Power delivered by centripetal force will be zero.
New answer posted
2 months agoContributor-Level 10
According to conservation of energy, we can write
Gain in kinetic energy = Loss in potential energy
Kf – Kin = Uin - Uf
K - = mgy – mg (y – y0) = mgy0
New answer posted
2 months agoContributor-Level 10
ΔW = area under P — t graph
= (1/2) (4 + 6) * 7 = 35 J
Work done = change in KE ⇒ 35 = (1/2) * 2 * v² - (1/2) * 2 * (1)² ⇒ v = 6 m/s
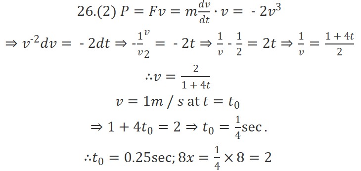
New answer posted
2 months agoContributor-Level 10
U = kr² ⇒ F = -dU/dr = -2kr ; 2kr = mv²/r ⇒ v = √ (2k/m) or T = 2πr/v = 2π√ (m/2k)
New answer posted
2 months agoContributor-Level 10
To reach at point A particle must cross the peak point.
Loss in KE = gain in PE
v2 = 100
v = 10 m/s
New answer posted
2 months agoContributor-Level 10
From conservation of momentum
2 * 4 + 4 * 2 = 2v1 + 4v2
8 = v1 + 2v2 ….(1)
From conservation of energy
….(ii)
On solving
New answer posted
2 months agoContributor-Level 10
When relative sliding stops, both move with same velocity.
Only friction acts in horizontal direction.
∴ for system no external force, we can apply conservation of momentum.
1 * 12 + 5 * 0 = 6 * v
v = 2 m/s
Now work done by friction on block = change in kinetic energy of block
w = (1/2)m (2² - 12²) = (1/2) (1) (4 - 144) = (1/2) (-140) = -70 J
Taking an Exam? Selecting a College?
Get authentic answers from experts, students and alumni that you won't find anywhere else
Sign Up on ShikshaOn Shiksha, get access to
- 65k Colleges
- 1.2k Exams
- 679k Reviews
- 1800k Answers










