Aldehydes, Ketones and Carboxylic Acids
Get insights from 184 questions on Aldehydes, Ketones and Carboxylic Acids, answered by students, alumni, and experts. You may also ask and answer any question you like about Aldehydes, Ketones and Carboxylic Acids
Follow Ask QuestionQuestions
Discussions
Active Users
Followers
New answer posted
3 months agoContributor-Level 9
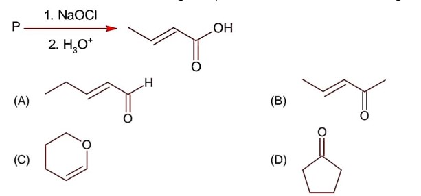
Enolisable carbonyl compound gives enamine with 2° amine.
Does not form enol thus not form enamine.
New answer posted
3 months agoContributor-Level 10
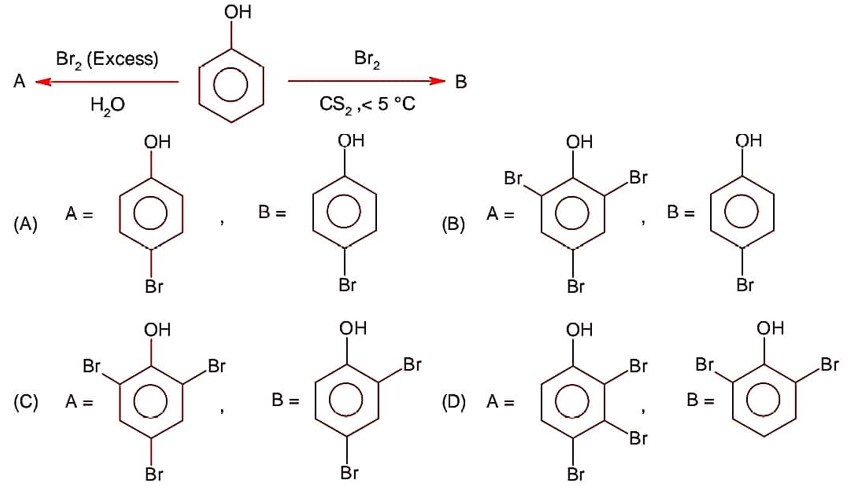
CS2 is non-polar, non-ionisable solvent and produce only para substituted compound due to the production of less Br+ ion, while H2O itself a polar solvent and produce sufficient concentration of Br+ to attack on ortho and para position.
Taking an Exam? Selecting a College?
Get authentic answers from experts, students and alumni that you won't find anywhere else
Sign Up on ShikshaOn Shiksha, get access to
- 65k Colleges
- 1.2k Exams
- 679k Reviews
- 1800k Answers

















