Chemistry NCERT Exemplar Solutions Class 12th Chapter Fourteen
Get insights from 85 questions on Chemistry NCERT Exemplar Solutions Class 12th Chapter Fourteen, answered by students, alumni, and experts. You may also ask and answer any question you like about Chemistry NCERT Exemplar Solutions Class 12th Chapter Fourteen
Follow Ask QuestionQuestions
Discussions
Active Users
Followers
New answer posted
10 months agoContributor-Level 10
This is a Short Answer Type Questions as classified in NCERT Exemplar
Excess vitamin C is easily removed in the urine since it is water soluble. As a result, it can't be stored in the body and must be ingested frequently.
New answer posted
10 months agoContributor-Level 10
This is a Short Answer Type Questions as classified in NCERT Exemplar
The given structure A is glucose pentaacetate, which lacks a free hydroxyl? OH or carbon -CHO group. As a result, it cannot be transferred to the open chain form to make a free group, and therefore the oxime is not produced.
New answer posted
10 months agoContributor-Level 10
This is a Short Answer Type Questions as classified in NCERT Exemplar
When glucose is acetylated with acetic anhydride, a penta-acetyl derivative is produced. The reaction is depicted in the diagram below.
This confirms the presence of five -OH groups.
New answer posted
10 months agoContributor-Level 10
This is a Short Answer Type Questions as classified in NCERT Exemplar
During the curdling process, the lactose sugar in milk is converted to lactic acid.
Milk curdling is caused by lactic acid-producing bacteria found in milk. Protein denaturation is an example. When a protein is exposed to physical or chemical alterations, it is said to be modified. The hydrogen bond has been shattered. Globules open up, helices uncoil, and proteins lose their biological function.
New answer posted
10 months agoContributor-Level 10
This is a Short Answer Type Questions as classified in NCERT Exemplar
Oxidoreductases are enzymes that participate in redox reactions that involve oxidation reduction. They act as catalysts; one of these enzymes is Alcohol Dehydrogenase, which decreases the amount of alcohol in the human body after ingestion.
New answer posted
10 months agoContributor-Level 10
This is a Short Answer Type Questions as classified in NCERT Exemplar
The formation of intramolecular H-bonding between the >C=O groups of amino acids in one turn and the? NH? groups of amino acids in the following turn stabilises a polypeptide chain in the a-helix shape of protein.
New answer posted
10 months agoContributor-Level 10
This is a Short Answer Type Questions as classified in NCERT Exemplar
To make a polypeptide chain, the amino acid must be linked to the α− carbon of the molecule. The removal of water molecules from an α− amino acid results in the formation of a polypeptide chain.

New answer posted
10 months agoContributor-Level 10
This is a Short Answer Type Questions as classified in NCERT Exemplar
Invert sugar is another name for sucrose. Sugar beet sugar is a colourless, crystalline, and sweet substance made from sugar beets. It is very water soluble and has a dextrorotatory aqueous solution [α]D=+66.5? When cane sugar is hydrolyzed with dilute acids or the enzyme invertase, it creates an equimolar mixture of D− (+)− glucose and D− (−)− fructose. Sucrose is dextrorotatory as a result, and hydrolysis produces dextrorotatory glucose and laevorotatory fructose. Fructose's specific rotation is greater than that of glucose. As a result, the ensuing solut
New answer posted
10 months agoContributor-Level 10
This is a Short Answer Type Questions as classified in NCERT Exemplar
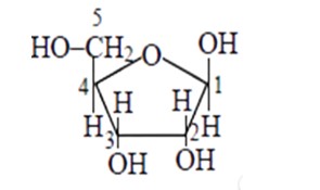
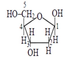
Aldo-pentoses like ribose and 2 - deoxyribose are sugar moieties found in nucleic acids like RNA and DNA. The structures of these sugars are illustrated below. Both aldopentoses' D- configuration is configuration.
β−D-ribose is mentioned, and its structure is depicted below.

The structure of as β−D-deoxyribose, 2 - deoxyribose is given in the diagram below.

New answer posted
10 months agoContributor-Level 10
This is a Short Answer Type Questions as classified in NCERT Exemplar
In the above given structure, the hydroxyl group (−OH) present at the last chiral carbon atom of the molecule, that is, C5, is directed towards the left. As a result, the given compound has an ' L '- configuration.
Taking an Exam? Selecting a College?
Get authentic answers from experts, students and alumni that you won't find anywhere else
Sign Up on ShikshaOn Shiksha, get access to
- 66k Colleges
- 1.2k Exams
- 690k Reviews
- 1850k Answers



