Amines
Get insights from 163 questions on Amines, answered by students, alumni, and experts. You may also ask and answer any question you like about Amines
Follow Ask QuestionQuestions
Discussions
Active Users
Followers
New answer posted
2 months agoContributor-Level 10
In triethyl amine, nitrogen is sp³ hybridized, hence bond angle is approximately 109°28' but since lone pair- bond pair repulsion is greater than bp-bp repulsion. Hence, the exact angle is found to be 108°.
New answer posted
2 months agoContributor-Level 10
In Aniline, lone pair is delocalized on less EN carbon atom while in acetamide it is delocalized on more EN oxygen atom. Hence aniline is more basic than acetamide.
New answer posted
2 months agoContributor-Level 10
% of N = (1.4 * Normality of acid * volume of acid used) / (mass of organic compound)
42 = (1.4 * (1 * 2) * volume of acid used) / 0.8
Volume of acid used = (42 * 0.8) / (1.4 * 2) ml
New answer posted
2 months agoContributor-Level 9
(CH? )? N? HCl produces H? which reacts with NaHCO? and CO? gas evolved, because HCl is stronger acid than H? CO?
New answer posted
2 months agoContributor-Level 9
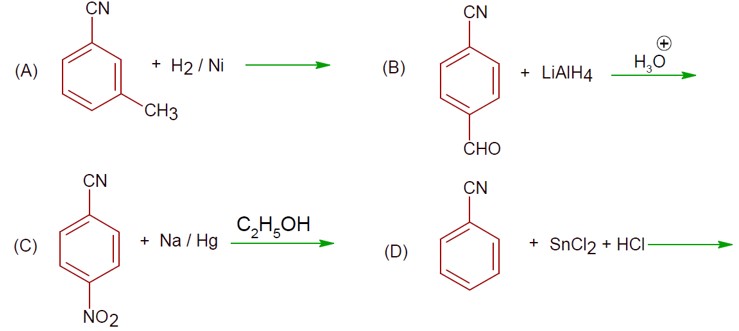
Gabriel phthalimide is used for the preparation of 1° aliphatic amine not 1° aromatic amines since 1° aromatic amines do not undergo nucleophilic substitution reaction.
New answer posted
2 months agoContributor-Level 10
Only 1° aromatic amines give stable diazonium salt on reaction with nitrous acid
Here 1° aromatic amine is 
Taking an Exam? Selecting a College?
Get authentic answers from experts, students and alumni that you won't find anywhere else
Sign Up on ShikshaOn Shiksha, get access to
- 65k Colleges
- 1.2k Exams
- 686k Reviews
- 1800k Answers










